精英家教网 > 高中数学 > 题目详情

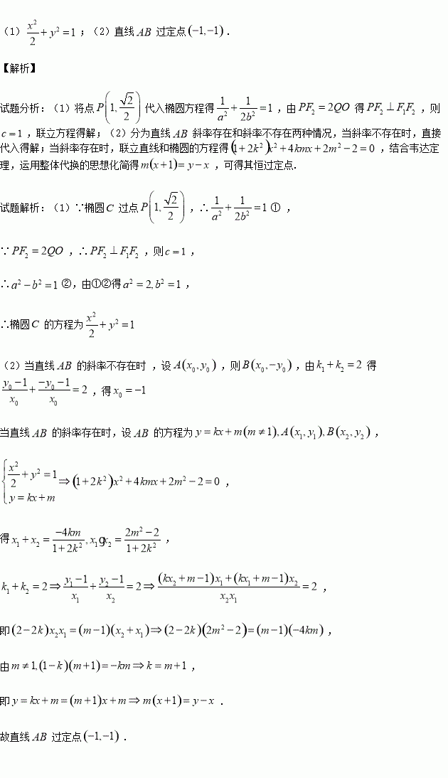
已知椭圆的左、右焦点分别为,椭圆过点,直线轴于,且为坐标原点.

(1)求椭圆的方程;

(2)设是椭圆的上顶点,过点分别作直线交椭圆两点,设这两条直线的斜率分别为,且,证明:直线过定点.

练习册系列答案
相关习题

科目:高中数学 来源:2017届辽宁庄河市高三9月月考数学(理)试卷(解析版) 题型:选择题

已知双曲线)经过点,且离心率为,则它的焦距为( )

A. B.

C. D.

查看答案和解析>>

科目:高中数学 来源: 题型:解答题

2.已知点F($\sqrt{3}$,0),圆E:(x+$\sqrt{3}$)2+y2=16,点P是圆E上任意一点,线段PF的垂直平分线和半径PE相交于Q.
(1)求动点Q的轨迹方程;
(2)若直线l与圆O:x2+y2=1相切,并与(1)中轨迹交于不同的两点A、B.当$\overrightarrow{OA}$•$\overrightarrow{OB}$=λ,且满足$\frac{1}{2}$≤λ≤$\frac{2}{3}$时,求△AOB面积S的取值范围.

查看答案和解析>>

科目:高中数学 来源: 题型:解答题

19.如图,抛物线C1:x2=2py(p>0)的焦点为F,椭圆C2:$\frac{{x}^{2}}{{a}^{2}}$+$\frac{{y}^{2}}{{b}^{2}}$=l (a>b>0)的离心率e=$\frac{\sqrt{3}}{2}$,C1与C2在第一象限的交点为P(2,1).
(Ⅰ)求抛物线C1及椭圆C2的方程;
(Ⅱ)已知直线l:y=kx+t(k≠0,t≠0)与椭圆C2交于不同两点A、B,点M满足$\overrightarrow{AM}+\overrightarrow{BM}$=$\overrightarrow 0$,直线FM的斜率为k1,且k•k1=$\frac{1}{4}$,求t的取值范围.

查看答案和解析>>

科目:高中数学 来源:2017届辽宁庄河市高三9月月考数学(理)试卷(解析版) 题型:选择题

已知全集,则集合( )

A. B.

C. D.

查看答案和解析>>

科目:高中数学 来源:2017届河南商丘第一高级中学年高三上理开学摸底数学试卷(解析版) 题型:填空题

如果实数满足条件,且的最小值为6,,则

_____________.

查看答案和解析>>

科目:高中数学 来源:2017届河南商丘第一高级中学年高三上理开学摸底数学试卷(解析版) 题型:选择题

已知函数,设,且,则的最小值为( )

A.4 B.2

C. D.

查看答案和解析>>

科目:高中数学 来源:2016-2017学年河北邢台市高一上学期月考一数学试卷(解析版) 题型:选择题

为表示三者中较小的一个, 若函数,则不等式的解集为( )

A. B.

C. D.

查看答案和解析>>

科目:高中数学 来源: 题型:选择题

8.数列{an}中,an>0,a1=1,an+2=$\frac{1}{{{a_n}+1}}$,若a20=a16,则a2+a3=(  )
A.$\frac{5}{2}$B.$\frac{{\sqrt{5}}}{2}$C.$\frac{{\sqrt{5}-1}}{2}$D.$\frac{{\sqrt{5}+1}}{2}$

查看答案和解析>>

同步练习册答案