精英家教网 > 高中数学 > 题目详情

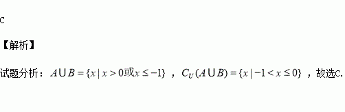
已知全集,则集合( )

A. B.

C. D.

练习册系列答案
相关习题

科目:高中数学 来源: 题型:选择题

18.已知向量$\overrightarrow{a}$⊥$\overrightarrow{b}$,|$\overrightarrow{a}$-$\overrightarrow{b}$|=2,定义:cλ=λ$\overrightarrow{a}$+(1-λ)$\overrightarrow{b}$,其中0≤λ≤1.若${c_λ}•{c_{\frac{1}{2}}}=\frac{1}{2}$,则|cλ|的值不可能为(  )
A.$\frac{{\sqrt{5}}}{5}$B.$\frac{{\sqrt{3}}}{3}$C.$\frac{{\sqrt{2}}}{2}$D.1

查看答案和解析>>

科目:高中数学 来源: 题型:解答题

17.如图,在平面直角坐标系xoy中,椭圆$\frac{{x}^{2}}{{a}^{2}}$+$\frac{{y}^{2}}{{b}^{2}}$=1(a>b>0)的离心率为$\frac{\sqrt{3}}{2}$,过椭圆右焦点F作两条互相垂直的弦AB与CD.当直线AB斜率为0时,|AB|+|CD|=5.
(1)求椭圆的方程;
(2)求由A,B,C,D四点构成的四边形的面积的取值范围.

查看答案和解析>>

科目:高中数学 来源: 题型:解答题

14.如图,过抛物线C:x2=2py(p>0)的焦点F的直线交C于M(x1,y1),N(x2,y2)两点,且x1x2=-4.
(Ⅰ)p的值;
(Ⅱ)R,Q是C上的两动点,R,Q的纵坐标之和为1,RQ的垂直平分线交y轴于点T,求△MNT的面积的最小值.

查看答案和解析>>

科目:高中数学 来源: 题型:选择题

1.如图所示,在四边形ABCD中,|$\overrightarrow{CD}$|=4,|$\overrightarrow{AD}$|=5,$\overrightarrow{AB}$•$\overrightarrow{AD}$=$\overrightarrow{CB}$•$\overrightarrow{CD}$=0,令|$\overrightarrow{BC}$|=x,|$\overrightarrow{BA}$|=y,则曲线y=f(x)可能是(  )
A.B.C.D.

查看答案和解析>>

科目:高中数学 来源:2017届河南商丘第一高级中学年高三上理开学摸底数学试卷(解析版) 题型:解答题

已知椭圆的左、右焦点分别为,椭圆过点,直线轴于,且为坐标原点.

(1)求椭圆的方程;

(2)设是椭圆的上顶点,过点分别作直线交椭圆两点,设这两条直线的斜率分别为,且,证明:直线过定点.

查看答案和解析>>

科目:高中数学 来源:2017届河南商丘第一高级中学年高三上理开学摸底数学试卷(解析版) 题型:填空题

的展开式的常数项为_________________.

查看答案和解析>>

科目:高中数学 来源:2016-2017学年河北邢台市高一上学期月考一数学试卷(解析版) 题型:填空题

已知函数,若均满足不等式,则的最大值为__________.

查看答案和解析>>

科目:高中数学 来源: 题型:选择题

3.设函数$f(x)=\left\{{\begin{array}{l}{ln(-x){,_{\;}}x<0}\\{-lnx,{{,}_{\;}}x>0}\end{array}}\right.$若f(m)>f(-m),则实数m的取值范围是(  )
A.(-1,0)∪(0,1)B..(-∞,-1)∪(0,1)C.(-1,0)∪(1,+∞)D.(-1,1]

查看答案和解析>>

同步练习册答案