精英家教网 > 高中数学 > 题目详情
已知函数f(x)=ax2+(1-2a)x-lnx.
(I )若函数y=f(x)在处取得极值,求满足条件的a的值;
(II)当a时,f(x)在(1,2)上单调递减,求a的取值范围;
(III)是否存在正实数a,使得函数y=f(x)在内有且只有两个零点?若存在,请求出a的取值范围;若不存在,请说明理由.
【答案】分析:(I)利用导数的运算法则求出导函数,利用极值点处的导数为0,列出方程求出a的值.
(II)对a分类讨论令导函数小于0求出递减区间,得到(1,2)的端点的范围,列出不等式求出a的范围.
(III)令导函数为0求出函数的单调性与最小值;结合函数的草图,只要最小值小于0,两个端点的值大于0即可,列出不等式组,求出a的范围.
解答:解:(I)=
有已知得

(II)f(x)的定义域为(0,+∞)
当a≥0时,由1<x<2知f′(x)>0∴f(x)在(1,2)递增,不符合题意
时,∵又∵x>令
∵f(x)在(1,2)上递减∴
总之
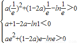
(III)令f′(x)=0
∵a>0解得
当x∈(0,1)时,f′(x)<0,f(x)是减函数
当x∈(1,+∞)时,f′(x)>0,f(x)是增函数,
要使y=f(x)在()内有且仅有两个零点,只需



点评:本题考查函数在极值点处的导数值为0、考查利用导数求函数的单调区间及极值,并能解决函数的零点个数问题.
练习册系列答案
相关习题

科目:高中数学 来源: 题型:

已知函数f(x)=
a-x2
x
+lnx  (a∈R , x∈[
1
2
 , 2])

(1)当a∈[-2,
1
4
)
时,求f(x)的最大值;
(2)设g(x)=[f(x)-lnx]•x2,k是g(x)图象上不同两点的连线的斜率,否存在实数a,使得k≤1恒成立?若存在,求a的取值范围;若不存在,请说明理由.

查看答案和解析>>

科目:高中数学 来源: 题型:

(2009•海淀区二模)已知函数f(x)=a-2x的图象过原点,则不等式f(x)>
34
的解集为
(-∞,-2)
(-∞,-2)

查看答案和解析>>

科目:高中数学 来源: 题型:

已知函数f(x)=a|x|的图象经过点(1,3),解不等式f(
2x
)>3

查看答案和解析>>

科目:高中数学 来源: 题型:

已知函数f(x)=a•2x+b•3x,其中常数a,b满足a•b≠0
(1)若a•b>0,判断函数f(x)的单调性;
(2)若a=-3b,求f(x+1)>f(x)时的x的取值范围.

查看答案和解析>>

科目:高中数学 来源: 题型:

已知函数f(x)=a-2|x|+1(a≠0),定义函数F(x)=
f(x)   ,  x>0
-f(x) ,    x<0
 给出下列命题:①F(x)=|f(x)|; ②函数F(x)是奇函数;③当a<0时,若mn<0,m+n>0,总有F(m)+F(n)<0成立,其中所有正确命题的序号是
 

查看答案和解析>>

同步练习册答案