精英家教网 > 高中数学 > 题目详情
已知函数f(x)=ax-lnx+1(a∈R),g(x)=xe1-x
(1)求函数g(x)在区间(0,e]上的值域;
(2)是否存在实数a,对任意给定的x∈(0,e],在区间[1,e]上都存在两个不同的xi(i=1,2),使得f(xi)=g(x)成立.若存在,求出a的取值范围;若不存在,请说明理由.
(3)给出如下定义:对于函数y=F(x)图象上任意不同的两点A(x1,y1),B(x2,y2),如果对于函数y=F(x)图象上的点M(x,y)(其中总能使得F(x1)-F(x2)=F'(x)(x1-x2)成立,则称函数具备性质“L”,试判断函数f(x)是不是具备性质“L”,并说明理由.
【答案】分析:(1)先求导函数g'(x)=e1-x1xe1-x=ex-1(1-x),从而可知函数在区间(0,1]上单调递增,在区间[1,e)上单调递减,因此可求函数的值域.
(2)令m=g(x),则由(1)可得m∈(0,1],原问题等价于:对任意的m∈(0,1],f(x)=m在[1,e]上总有两个不同的实根,故f(x)在[1,e]不可能是单调函数,从而可得,又可得,矛盾,因此满足条件的a不存在
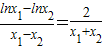
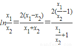
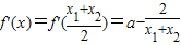
(3)设函数f(x)具备性质“L”,即在点M处地切线斜率等于kAB,不妨设0<x1<x2,易得,令,则有,令F(t)=,则由可得F(t)在(0,1)上单调递增,故F(t)<F(1)=0,从而方程无解,故可得证.
解答:解:(1)∵g'(x)=e1-x1xe1-x=ex-1(1-x)在区间(0,1]上单调递增,在区间[1,e)上单调递减,且g(0)=0,g(1)=1>g(e)=e2-e函数g(x)在区间(0,e]上的值域为(0,1]….(3分)
(2)令m=g(x),则由(1)可得m∈(0,1],原问题等价于:对任意的m∈(0,1]f(x)=m在[1,e]上总有两个不同的实根,故f(x)在[1,e]不可能是单调函数                              …(5分)∵
当a≤0时,,在区间[1,e]上递减,不合题意
当a≥1时,f'(x)>0,在区间[1,e]上单调递增,不合题意
时,f'(x)<0,在区间[1,e]上单调递减,不合题意
时,在区间上单调递减;在区间上单递增,
由上可得,此时必有f(x)的最小值小于等于0且f(x)的最大值大于等于1,而由可得,则a∈Φ
综上,满足条件的a不存在.…..(8分)
(3)设函数f(x)具备性质“L”,即在点M处地切线斜率等于kAB,不妨设0<x1<x2,则,而f(x)在点M处的切线斜率为,故有…..(10分)
,令,则上式化为
令F(t)=,则由可得F(t)在(0,1)上单调递增,故F(t)<F(1)=0,即方程无解,所以函数f(x)不具备性质“L”.…(14分)
点评:此题是个难题.考查利用导数研究函数的单调性,和求函数的最值问题,体现了分类讨论和数形结合以及题意的理解与转化的思想.特别是问题(2)的设置,考查了学生创造性分析解决问题的能力.
练习册系列答案
相关习题

科目:高中数学 来源: 题型:

已知函数f(x)=
a-x2
x
+lnx  (a∈R , x∈[
1
2
 , 2])

(1)当a∈[-2,
1
4
)
时,求f(x)的最大值;
(2)设g(x)=[f(x)-lnx]•x2,k是g(x)图象上不同两点的连线的斜率,否存在实数a,使得k≤1恒成立?若存在,求a的取值范围;若不存在,请说明理由.

查看答案和解析>>

科目:高中数学 来源: 题型:

(2009•海淀区二模)已知函数f(x)=a-2x的图象过原点,则不等式f(x)>
34
的解集为
(-∞,-2)
(-∞,-2)

查看答案和解析>>

科目:高中数学 来源: 题型:

已知函数f(x)=a|x|的图象经过点(1,3),解不等式f(
2x
)>3

查看答案和解析>>

科目:高中数学 来源: 题型:

已知函数f(x)=a•2x+b•3x,其中常数a,b满足a•b≠0
(1)若a•b>0,判断函数f(x)的单调性;
(2)若a=-3b,求f(x+1)>f(x)时的x的取值范围.

查看答案和解析>>

科目:高中数学 来源: 题型:

已知函数f(x)=a-2|x|+1(a≠0),定义函数F(x)=
f(x)   ,  x>0
-f(x) ,    x<0
 给出下列命题:①F(x)=|f(x)|; ②函数F(x)是奇函数;③当a<0时,若mn<0,m+n>0,总有F(m)+F(n)<0成立,其中所有正确命题的序号是
 

查看答案和解析>>

同步练习册答案