精英家教网 > 高中数学 > 题目详情

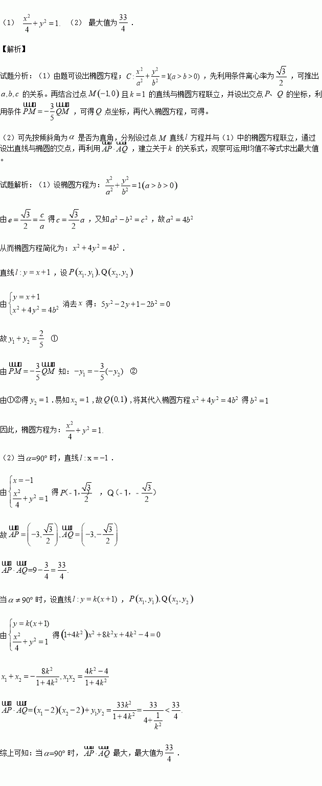
已知椭圆的中心在原点,焦点在轴上,离心率为,过点的直线与椭圆交于两点.

(1)若直线的斜率为1, 且,求椭圆的标准方程;

(2)若(1)中椭圆的右顶点为,直线的倾斜角为,问为何值时,取得最大值,并求出这个最大值.

练习册系列答案
相关习题

科目:高中数学 来源:2015-2016学年福建省高一下学期第一次月考数学试卷(解析版) 题型:选择题

直线2x-y=7与直线3x+2y-7=0的交点是( )

A.(3,-1) B.(-1,3) C.(-3,-1) D.(3,1)

查看答案和解析>>

科目:高中数学 来源:2015-2016学年山西省高二3月月考理科数学试卷(解析版) 题型:选择题

用数学归纳法证明“”时,由的假设证明时,如果从等式左边证明右边,则必须证得右边为( )

A. B.

C. D.

查看答案和解析>>

科目:高中数学 来源:2015-2016学年甘肃省嘉峪关市高二上学期期末文科数学试卷(解析版) 题型:选择题

设抛物线的焦点为,过点的直线与抛物线相交于两点,与抛物线的准线相交于点,则( )

A. 1: 4 B. 1: 5 C. 1: 7 D. 1: 6

查看答案和解析>>

科目:高中数学 来源:2015-2016学年甘肃省嘉峪关市高二上学期期末文科数学试卷(解析版) 题型:选择题

已知两条曲线在点处的切线平行,则的值为( )

A. 0 B. C.0 或 D. 0 或 1

查看答案和解析>>

科目:高中数学 来源:2015-2016学年甘肃省嘉峪关市高二上学期期末理科数学试卷(解析版) 题型:解答题

已知命题,若的充分不必要条件,求的取值范围.

查看答案和解析>>

科目:高中数学 来源:2015-2016学年甘肃省嘉峪关市高二上学期期末理科数学试卷(解析版) 题型:选择题

已知点在抛物线上,那么点到点的距离与点到抛物线焦点距离之和取得最小值时,点的坐标为( )

A. B. C. D.

查看答案和解析>>

科目:高中数学 来源:2015-2016学年安徽省高一下期中数学试卷(解析版) 题型:填空题

已知,直线和圆相交所得的弦长为,则 .

查看答案和解析>>

科目:高中数学 来源:2015-2016学年辽宁东北育才学校高二下期中理科数学试卷(解析版) 题型:填空题

查看答案和解析>>

同步练习册答案