精英家教网 > 高中数学 > 题目详情

【题目】已知函数f(x)=ax3﹣x2+4x+3,若在区间[﹣2,1]上,f(x)≥0恒成立,则a的取值范围是(
A.[﹣6,﹣2]
B.
C.[﹣5,﹣3]
D.[﹣4,﹣3]

【答案】A
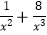
【解析】解:解:当x=0时,不等式ax3﹣x2+4x+3≥0对任意a∈R恒成立; 当0<x≤1时,ax3﹣x2+4x+3≥0可化为a≥
令f(x)= ,则f′(x)=﹣ + =﹣ (*),
当0<x≤1时,f′(x)>0,f(x)在(0,1]上单调递增,
f(x)max=f(1)=﹣6,∴a≥﹣6;
当﹣2≤x<0时,ax3﹣x2+4x+3≥0可化为a≤
由(*)式可知,当﹣2≤x<﹣1时,f′(x)<0,f(x)单调递减,
当﹣1<x<0时,f′(x)>0,f(x)单调递增,
f(x)min=f(﹣1)=﹣2,∴a≤﹣2;
综上所述,实数a的取值范围是﹣6≤a≤﹣2,即实数a的取值范围是[﹣6,﹣2].
所以答案是:[﹣6,﹣2].
【考点精析】根据题目的已知条件,利用函数单调性的判断方法和函数的最值及其几何意义的相关知识可以得到问题的答案,需要掌握单调性的判定法:①设x1,x2是所研究区间内任两个自变量,且x1<x2;②判定f(x1)与f(x2)的大小;③作差比较或作商比较;利用二次函数的性质(配方法)求函数的最大(小)值;利用图象求函数的最大(小)值;利用函数单调性的判断函数的最大(小)值.

练习册系列答案
相关习题

科目:高中数学 来源: 题型:

【题目】若函数y=ax在区间[0,2]上的最大值和最小值的和为5,则函数y=logax在区间[ ,2]上的最大值和最小值之差是(
A.1
B.3
C.4
D.5

查看答案和解析>>

科目:高中数学 来源: 题型:

【题目】已知 展开式中各项的系数之和比各项的二项式系数之和大992.
(1)求展开式中二项式系数最大的项;
(2)求展开式中系数最大的项.

查看答案和解析>>

科目:高中数学 来源: 题型:

【题目】在平面直角坐标系xOy中,圆C的参数方程为 (θ为参数),直线l经过点P(1,1),倾斜角
(1)写出直线l的参数方程;
(2)设l与圆C相交于两点A,B,求点P到A,B两点的距离之积.

查看答案和解析>>

科目:高中数学 来源: 题型:

【题目】已知为直角坐标系的坐标原点,双曲线 上有一点),点轴上的射影恰好是双曲线的右焦点,过点作双曲线两条渐近线的平行线,与两条渐近线的交点分别为 ,若平行四边形的面积为1,则双曲线的标准方程是( )

A. B. C. D.

查看答案和解析>>

科目:高中数学 来源: 题型:

【题目】已知是定义在上且以3为周期的奇函数,当时, ,则函数在区间上的零点个数是( )

A. 3 B. 5 C. 7 D. 9

查看答案和解析>>

科目:高中数学 来源: 题型:

【题目】已知定义域为R的函数f(x)= 是奇函数,
(1)求a的值;
(2)试判断f(x)在(﹣∞,+∞)的单调性,并请你用函数单调性的定义给予证明;
(3)若对任意的t∈R,不等式f(mt2+1)+f(1﹣mt)<0恒成立,求实数t的取值范围.

查看答案和解析>>

科目:高中数学 来源: 题型:

【题目】已知函数f(x)=xsinx,有下列四个结论: ①函数f(x)的图象关于y轴对称;
②存在常数T>0,对任意的实数x,恒有f(x+T)=f(x);
③对于任意给定的正数M,都存在实数x0 , 使得|f(x0)|≥M;
④函数f(x)在[0,π]上的最大值是
其中正确结论的序号是(请把所有正确结论的序号都填上).

查看答案和解析>>

科目:高中数学 来源: 题型:

【题目】已知点是圆心为的圆上的动点,点,线段的垂直平分线交于点.

(1)求动点的轨迹的方程;

(2)矩形的边所在直线与曲线均相切,设矩形的面积为,求的取值范围.

查看答案和解析>>

同步练习册答案