精英家教网 > 高中数学 > 题目详情

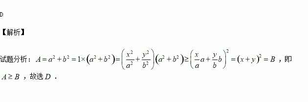
已知,设,则的大小关系为( )

A. B. C. D.

练习册系列答案
相关习题

科目:高中数学 来源:2016届江苏省苏州大学高考考前指导卷2数学试卷(解析版) 题型:填空题

已知函数 函数 ,若函数 恰有4个零点,则实数的取值范围是

查看答案和解析>>

科目:高中数学 来源:2016届江西省九江市高三下学期三模文科数学试卷(解析版) 题型:填空题

已知数列的的前项和为,且,则数列的通项公式______.

查看答案和解析>>

科目:高中数学 来源:2015-2016学年河北武邑中学高二下5.8周考文科数学卷(解析版) 题型:解答题

将单价为8元的商品按10元一个销售时,每天可卖100个,若这个商品单价每上涨1元,则销售量就减少10个,为获取最大利润,此商品单价应定为多少元?

查看答案和解析>>

科目:高中数学 来源:2015-2016学年河北武邑中学高二下5.8周考文科数学卷(解析版) 题型:选择题

为正数,,则的大小关系为( )

A. B. C. D.

查看答案和解析>>

科目:高中数学 来源:2015-2016学年河北武邑中学高二下5.8周考理科数学卷(解析版) 题型:解答题

某同学参加3门课程的考试.假设该同学第一门课程取得优秀成绩的概率为,第二、第三门课程取得优秀成绩的概率分别为,且不同课程是否取得优秀成绩相互独立.记为该生取得优秀成绩的课程数,其分布列为

(1)求该生至少有1门课程取得优秀成绩的概率;

(2)求的值;

(3)求数学期望.

查看答案和解析>>

科目:高中数学 来源:2015-2016学年河北武邑中学高二下5.8周考理科数学卷(解析版) 题型:填空题

已知随机变量服从正态分布,且,则________.

查看答案和解析>>

科目:高中数学 来源:2015-2016学年江西省高一下期中数学试卷(解析版) 题型:解答题

已知函数

(1)当时,求不等式的解集

(2)若对任意的恒成立,求实数的取值范围.

查看答案和解析>>

科目:高中数学 来源:2016届湖南省长沙市高考模拟一文科数学试卷(解析版) 题型:解答题

如图,是圆的一条切线,切点为,直线都是圆的割线,已知.

(1)若,求的值;

(2)求证:.

查看答案和解析>>

同步练习册答案