精英家教网 > 高中数学 > 题目详情

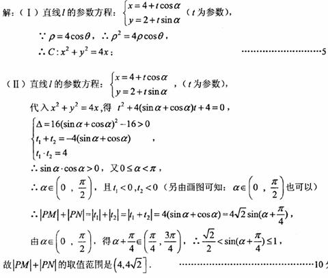
    在直角坐标系xOy中,是过定点P(4,2)且倾斜角为的直线;在极坐标系(以坐标原点O为极点,以x轴非负半轴为极轴,取相同单位长度)中,曲线C的极坐标方程为

(I)写出直线的参数方程;并将曲线C的方程化为直角坐标方程;

( II)若曲线C与直线相交于不同的两点M、N,求的取值范围.

练习册系列答案
相关习题

科目:高中数学 来源: 题型:


已知数列满足,且的前项和.

(Ⅰ)求证:数列是等比数列,并求的通项公式;

(Ⅱ)如果对任意,不等式恒成立,求实数的取值范围.

查看答案和解析>>

科目:高中数学 来源: 题型:


若对任意的,关于的方程组都有两组不同的解,则实数的值是       .

查看答案和解析>>

科目:高中数学 来源: 题型:


已知异面直线a,b所成的角为θ,P为空间任意一点,过P作直线l,若l与a,b所成的角均为,有以下命题:

    ①若θ= 60°,= 90°,则满足条件的直线l有且仅有l条;

    ②若θ= 60°,=30°,则满足条件的直线l有仅有l条;

    ③若θ= 60°,= 70°,则满足条件的直线l有且仅有4条;

    ④若θ= 60°,= 45°,则满足条件的直线l有且仅有2条;

上述4个命题中真命题有

    A.l个      B.2个      C.3个      D.4个

查看答案和解析>>

科目:高中数学 来源: 题型:


在数学趣味知识培训活动中,甲、乙两名学生的6次培训成绩如下茎叶图所示:

(Ⅰ)从甲、乙两人中选择1人参加数学趣味知识竞赛,你会选哪位?请运用统计学的知识说明理由:

(II)从乙的6次培训成绩中随机选择2个,试求选到123分的概率.

查看答案和解析>>

科目:高中数学 来源: 题型:


以下四个命题中

①不共面的四点中,其中任意三点不共线;

②若点共面,点共面,则点共面;

③若直线共面,直线共面,则直线共面;

④依次首尾相接的四条线段必共面.  命题正确的个数为(    )

A.              B.             C.              D.

查看答案和解析>>

科目:高中数学 来源: 题型:


,且,则          .

查看答案和解析>>

科目:高中数学 来源: 题型:


已知A,B,C,D是函数一个周期内的图象上的四个点,如图所示,B为轴上的点,C为图像上的最低点,E为该函数图像的一个对称中心,B与D关于点E对称,轴上的投影为,则的值为(   )

A.    B.  C.    D.

查看答案和解析>>

科目:高中数学 来源: 题型:


已知,则的值为(     )

A.           B.          C.              D.

查看答案和解析>>

同步练习册答案