精英家教网 > 高中数学 > 题目详情

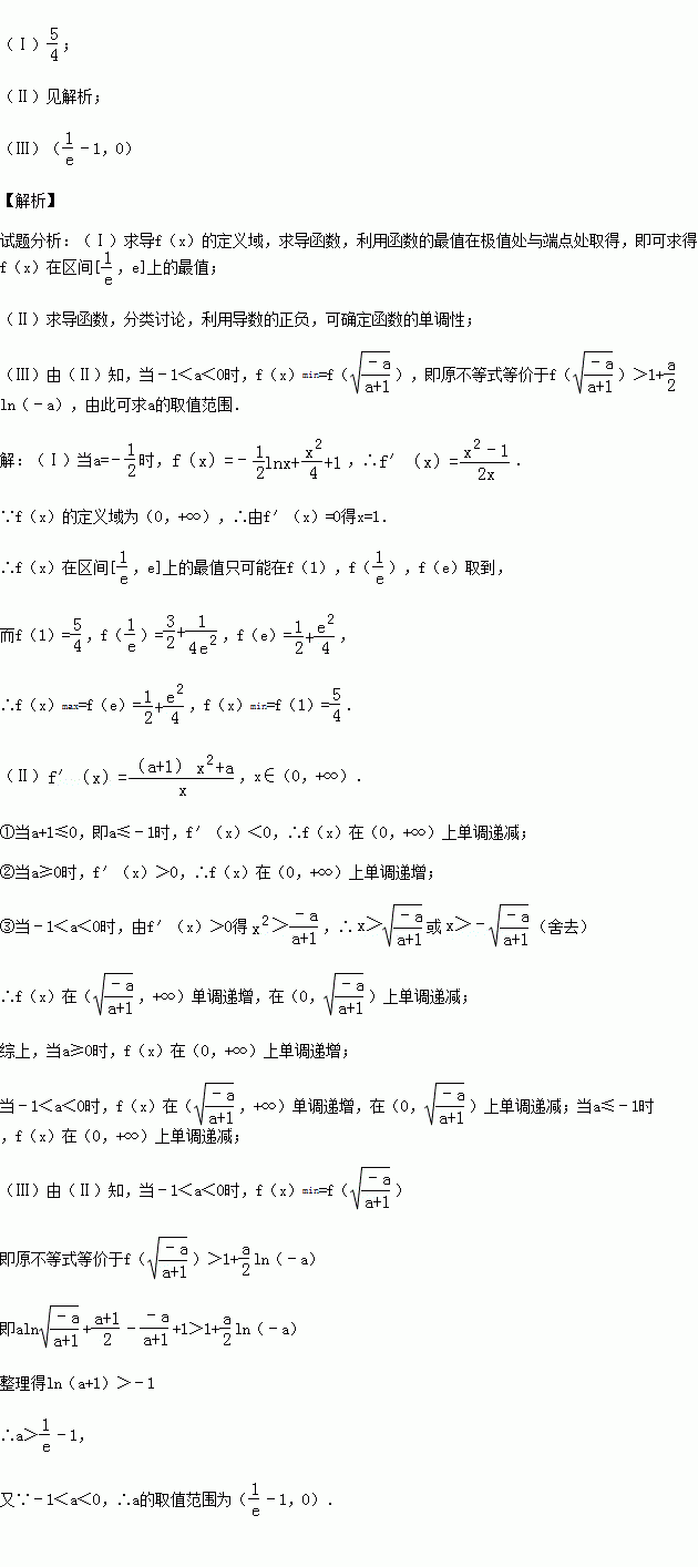
(2015•贵州模拟)已知函数f(x)=alnx++1.

(Ⅰ)当a=﹣时,求f(x)在区间[,e]上的最值;

(Ⅱ)讨论函数f(x)的单调性;

(Ⅲ)当﹣1<a<0时,有f(x)>1+ln(﹣a)恒成立,求a的取值范围.

练习册系列答案
相关习题

科目:高中数学 来源:2016届重庆市高三12月月考理科数学试卷(解析版) 题型:解答题

我国政府对PM2.5采用如下标准:

某市环保局从一年365天的市区PM2.5监测数据中,随机抽取10天的数据作为样本,监测值如茎叶图所示(十位为茎,个位为叶).

(1)求这10天数据的中位数;

(2)从这10天数据中任取4天的数据,记为空气质量达到一级的天数,求的分布列和期望;

(3)以这10天的数据来估计这一年365天的空气质量情况,并假定每天之间的空气质量相互不影响.记为这一年中空气质量达到一级的天数,求的平均值.

查看答案和解析>>

科目:高中数学 来源:2016届陕西省渭南市高三上第三次月考数学试卷(解析版) 题型:选择题

(2010•聊城二模)给出下列命题

①若直线l与平面α内的一条直线平行,则l∥α;

②若平面α⊥平面β,且α∩β=l,则过α内一点P与l垂直的直线垂直于平面β;

③?x0∈(3,+∞),x0∉(2,+∞);

④已知a∈R,则“a<2”是“a2<2a”的必要不充分条件.

其中正确命题的个数是( )

A.4 B.3 C.2 D.1

查看答案和解析>>

科目:高中数学 来源:2016届山东省高三上12月月考文科数学试卷(解析版) 题型:选择题

(2014秋•揭阳校级期中)若实数x,y满足条件,则2x+y的最大值是( )

A.8 B.2 C.4 D.7

查看答案和解析>>

科目:高中数学 来源:2016届江苏省盐城市高三上12月月测数学试卷(解析版) 题型:解答题

(2015秋•盐城校级月考)已知{an}的前n项和Sn,an>0且an2+2an=4Sn+3

(1)求{an}的通项公式;

(2)若bn=,求{bn}的前n项和Tn.

查看答案和解析>>

科目:高中数学 来源:2016届宁夏石嘴山三中高三上第三次适应性考试理科数学试卷(解析版) 题型:解答题

(2014•泰州模拟)已知极坐标系的极点在直角坐标系的原点,极轴与x轴的正半轴重合,曲线C的极坐标方程为ρ2cos2θ+3ρ2sin2θ=3,直线l的参数方程为.试在曲线C上求一点M,使它到直线l的距离最大.

查看答案和解析>>

科目:高中数学 来源:2016届江苏省南通市高三上第三次调研文科数学试卷(解析版) 题型:解答题

(2015秋•如皋市月考)在平面直角坐标系xOy中,已知向量=(2,0),=(0,1).设向量,其中0<θ<

(1)若,且θ=,求实数k的值;

(2)若,求实数k的最大值,并求取最大值时cosθ的值.

查看答案和解析>>

科目:高中数学 来源:2016届重庆市高三上学期一诊模拟文科数学试卷(解析版) 题型:解答题

【选修4-4:坐标系与参数方程】

已知曲线的参数方程为:为参数),直线的参数方程为:为参数),点,直线与曲线交于两点.

(1)写出曲线和直线在直角坐标系下的标准方程;

(2)求的值.

查看答案和解析>>

科目:高中数学 来源:2016届云南省玉溪市高三第四次月考文科数学试卷(解析版) 题型:选择题

已知集合,则集合可以是( )

A.R B. C. D.

查看答案和解析>>

同步练习册答案