精英家教网 > 高中数学 > 题目详情

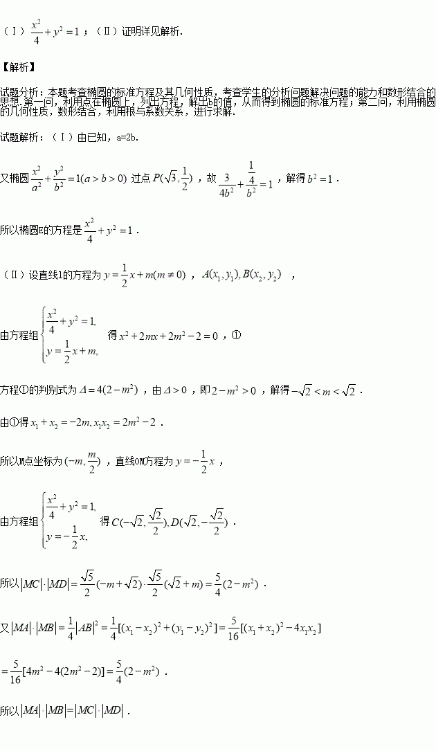
已知椭圆E:(a﹥b﹥0)的一个焦点与短轴的两个端点是正三角形的三个顶点,点P()在椭圆E上。

(Ⅰ)求椭圆E的方程;

(Ⅱ)设不过原点O且斜率为的直线l与椭圆E交于不同的两点A,B,线段AB的中点为M,直线OM与椭圆E交于C,D,证明:︳MA︳·︳MB︳=︳MC︳·︳MD︳

练习册系列答案
相关习题

科目:高中数学 来源:2016年全国普通高等学校招生统一考试文科数学(上海卷参考版) 题型:填空题

已知点在函数的图像上,则的反函数_______.

查看答案和解析>>

科目:高中数学 来源:2016年全国普通高等学校招生统一考试文科数学(山东卷参考版) 题型:选择题

已知圆M:截直线所得线段的长度是,则圆M与圆N:的位置关系是

(A)内切 (B)相交 (C)外切 (D)相离

查看答案和解析>>

科目:高中数学 来源:2016年全国普通高等学校招生统一考试理科数学(四川卷参考版) 题型:填空题

cos2–sin2= .

查看答案和解析>>

科目:高中数学 来源:2016年全国普通高等学校招生统一考试理科数学(四川卷参考版) 题型:选择题

用数字1,2,3,4,5组成没有重复数字的五位数,其中奇数的个数为

(A)24 (B)48 (C)60 (D)72

查看答案和解析>>

科目:高中数学 来源:2016年全国普通高等学校招生统一考试文科数学(四川卷参考版) 题型:填空题

在平面直角坐标系中,当P(x,y)不是原点时,定义P的“伴随点”为P当P是原点时,定义“伴随点”为它自身,现有下列命题:

?若点A的“伴随点”是点,则点的“伴随点”是点A.

?单元圆上的“伴随点”还在单位圆上。

?若两点关于x轴对称,则他们的“伴随点”关于y轴对称

④若三点在同一条直线上,则他们的“伴随点”一定共线。

其中的真命题是

查看答案和解析>>

科目:高中数学 来源:2016年全国普通高等学校招生统一考试文科数学(四川卷参考版) 题型:选择题

秦九韶是我国南宋时期的数学家,普州(现四川省安岳县)人,他在所著的《数书九章》中提出的多项式求值的秦九韶算法,至今仍是比较先进的算法。如图所示的程序框图给出了利用秦九韶算法求多项式值的一个实例,若输入n,x的值分别为3,2,则输出v的值为

(A)35 (B)20 (C)18 (D)9

查看答案和解析>>

科目:高中数学 来源:2016年全国普通高等学校招生统一考试理科数学(浙江卷参考版) 题型:填空题

某几何体的三视图如图所示(单位:cm),则该几何体的表面积是 cm2,体积是 cm3.

查看答案和解析>>

科目:高中数学 来源:2016年全国普通高等学校招生统一考试数学(江苏卷参考版) 题型:解答题

如图,在直三棱柱ABC-A1B1C1中,D,E分别为AB,BC的中点,点F在侧棱B1B上,且.

求证:(1)直线DE∥平面A1C1F;

(2)平面B1DE⊥平面A1C1F.

查看答案和解析>>

同步练习册答案