精英家教网 > 高中数学 > 题目详情

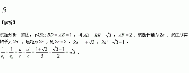
如图,在中,边上的高分别为BD、AE,则以为焦点,且过的椭圆与双曲线的离心率分别为e1,e2,则的值为 .

练习册系列答案
相关习题

科目:高中数学 来源:2017届广西南宁二中等校高三8月联考数学(理)试卷(解析版) 题型:解答题

为数列的前项和,已知.

(1)求的通项公式;

(2)设,求数列的前项和.

查看答案和解析>>

科目:高中数学 来源:2016-2017学年河北武邑中学高一上周考9.11数学试卷(解析版) 题型:解答题

已知函数.

(1)求实数的取值范围,使函数在区间[-5,5]上是单调函数;

(2)若,记的最大值为,求的表达式并判断其奇偶性.

查看答案和解析>>

科目:高中数学 来源:2016-2017学年河北武邑中学高一上周考9.11数学试卷(解析版) 题型:选择题

已知函数为奇函数,且当时,,则( )

A.-2 B.0 C.1 D.2

查看答案和解析>>

科目:高中数学 来源:2017届湖北襄阳五中高三上学期开学考数学(理)试卷(解析版) 题型:解答题

已知椭圆C的中心在原点,焦点在x轴上,离心率等于,它的一个顶点恰好是抛物线的焦点,

(Ⅰ)求椭圆C的标准方程;

(Ⅱ)过椭圆C的右焦点作直线l交椭圆C于A、B两点,交y轴于M点,若为定值.

查看答案和解析>>

科目:高中数学 来源:2017届湖北襄阳五中高三上学期开学考数学(理)试卷(解析版) 题型:选择题

定义在上的函数满足,则对任意的的( )

A.充分不必要条件 B.必要不充分条件

C.充分必要条件 D.既不充分也不必要条件

查看答案和解析>>

科目:高中数学 来源:2017届湖北襄阳五中高三上学期开学考数学(理)试卷(解析版) 题型:选择题

下列命题中的假命题是( )

A.

B.,使得函数是偶函数

C.,使得

D.,使是幂函数,且在上递减

查看答案和解析>>

科目:高中数学 来源:2017届湖北襄阳五中高三上学期开学考数学(文)试卷(解析版) 题型:选择题

已知函数是定义在R上的增函数,则函数的图象可能是( )

A. B. C. D.

查看答案和解析>>

科目:高中数学 来源:2017届宁夏高三上学期月考一数学(文)试卷(解析版) 题型:填空题

已知函数f(x)=(其中e为自然对数的底数),则函数y=f(f(x))的零点等于 .

查看答案和解析>>

同步练习册答案