精英家教网 > 高中数学 > 题目详情

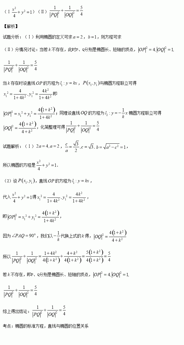
已知椭圆C:的离心率为,且C上任意一点到两个焦点的距离之和都为4.

(Ⅰ)求椭圆C的方程;

(Ⅱ)设直线与椭圆交于P、Q,O为坐标原点,若,求证为定值.

练习册系列答案
相关习题

科目:高中数学 来源:2014-2015学年江苏省泰兴市高三上学期期中考试理科数学试卷(解析版) 题型:填空题

,则

查看答案和解析>>

科目:高中数学 来源:2014-2015学年江苏省高三上学期期中考试理科数学试卷(解析版) 题型:填空题

函数y=的单调递减区间是 .

查看答案和解析>>

科目:高中数学 来源:2014-2015学年江苏省淮阴区高三上学期期中调研测试文科数学试卷(解析版) 题型:填空题

一个圆柱和一个圆锥同底等高,若圆锥的侧面积是其底面积的2倍,则圆柱的侧面积是其底面积的 倍

查看答案和解析>>

科目:高中数学 来源:2014-2015学年江苏省淮阴区高三上学期期中调研测试文科数学试卷(解析版) 题型:填空题

设集合,若,则实数的取值范围为

查看答案和解析>>

科目:高中数学 来源:2014-2015学年内蒙古赤峰市宁城县高三3月统一考试(一模)理科数学试卷(解析版) 题型:填空题

给出一个如图所示的流程图,若要使输入的x值与输出的y 值相等, 则这样的x 值的集合为 .

查看答案和解析>>

科目:高中数学 来源:2014-2015学年内蒙古赤峰市宁城县高三3月统一考试(一模)理科数学试卷(解析版) 题型:选择题

甲、乙两名同学在5次体能测试中的成绩的茎叶图如图所示,设分别表示甲、乙两名同学测试成绩的平均数,分别表示甲、乙两名同学测试成绩的标准差,则有

(A) (B)

(C) (D)

查看答案和解析>>

科目:高中数学 来源:2014-2015学年江苏省宿迁市三校高三下学期3月质量检测数学试卷(解析版) 题型:填空题

若直线被圆截得的弦长为2,则= .

查看答案和解析>>

科目:高中数学 来源:2014-2015学年江苏省高三下学期第一次月考数学试卷(解析版) 题型:填空题

已知中心为的正方形的边长为2,点分别为线段上的两个不同点,且,则的取值范围是 .

查看答案和解析>>

同步练习册答案