精英家教网 > 高中数学 > 题目详情
已知函数f(x)=ax2+bx-1,其中a∈(0,4),b∈R,
(Ⅰ)当a=1时,解不等式f(x)+f(-x)<3x;
(Ⅱ)设b2-2b>0,当x∈时,f(x)的值域为,求a,b的值。
解:(Ⅰ)a=1时,

即:

∴不等式f(x)+f(-x)<3x的解集为
(Ⅱ)∵
∴b<0或b>2,
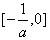
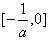
若b<0,则
∴f(x)在上是减函数,

解得:a=3,b=-2;
若b>2,则-b<-2,
∴f(x)在上是增函数,
,无解;
综上可知:a=3,b=-2。
练习册系列答案
相关习题

科目:高中数学 来源: 题型:

已知函数f(x)=
a-x2
x
+lnx  (a∈R , x∈[
1
2
 , 2])

(1)当a∈[-2,
1
4
)
时,求f(x)的最大值;
(2)设g(x)=[f(x)-lnx]•x2,k是g(x)图象上不同两点的连线的斜率,否存在实数a,使得k≤1恒成立?若存在,求a的取值范围;若不存在,请说明理由.

查看答案和解析>>

科目:高中数学 来源: 题型:

(2009•海淀区二模)已知函数f(x)=a-2x的图象过原点,则不等式f(x)>
34
的解集为
(-∞,-2)
(-∞,-2)

查看答案和解析>>

科目:高中数学 来源: 题型:

已知函数f(x)=a|x|的图象经过点(1,3),解不等式f(
2x
)>3

查看答案和解析>>

科目:高中数学 来源: 题型:

已知函数f(x)=a•2x+b•3x,其中常数a,b满足a•b≠0
(1)若a•b>0,判断函数f(x)的单调性;
(2)若a=-3b,求f(x+1)>f(x)时的x的取值范围.

查看答案和解析>>

科目:高中数学 来源: 题型:

已知函数f(x)=a-2|x|+1(a≠0),定义函数F(x)=
f(x)   ,  x>0
-f(x) ,    x<0
 给出下列命题:①F(x)=|f(x)|; ②函数F(x)是奇函数;③当a<0时,若mn<0,m+n>0,总有F(m)+F(n)<0成立,其中所有正确命题的序号是
 

查看答案和解析>>

同步练习册答案