精英家教网 > 高中数学 > 题目详情

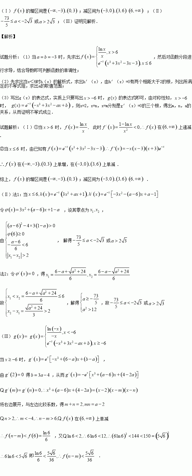
已知函数 ,其中为自然对数的底数.

(Ⅰ)当时,求函数的单调区间;

(Ⅱ)当时,若函数存在两个相距大于2的极值点,求实数的取值范围;

(Ⅲ)若函数与函数的图象关于轴对称,且函数单调递减,在单调递增,试证明:

练习册系列答案
相关习题

科目:高中数学 来源:2016届重庆市高三12月月考理科数学试卷(解析版) 题型:选择题

执行下图所示框图,若输入,则输出的p等于( )

A.120 B.240 C.360 D.720

查看答案和解析>>

科目:高中数学 来源:2016届山东省枣庄市高三12月月考文科数学试卷(解析版) 题型:选择题

”是“数列为等比数列”的( )

A.充分不必要条件

B.必要不充分条件

C.充要条件

D.既不充分也不必要条件

查看答案和解析>>

科目:高中数学 来源:2016届甘肃省高三上第四次月考文科数学试卷(解析版) 题型:选择题

函数在定义域内的零点的个数为( )

A.0 B.1 C.2 D.3

查看答案和解析>>

科目:高中数学 来源:2016届福建省高三上学期期中文科数学试卷(解析版) 题型:解答题

在直角坐标系中,以坐标原点为极点,轴正半轴为极轴建立极坐标系,半圆的极坐标方程为

(Ⅰ)求的参数方程;

(Ⅱ)记点D在上,在D处的切线与直线垂直,根据(Ⅰ)中你得到的参数方程,确定D的坐标.

查看答案和解析>>

科目:高中数学 来源:2016届福建省高三上学期期中理科数学试卷(解析版) 题型:选择题

下列说法错误的是( )

A、命题“若,则”的逆否命题为“若,则

B、的充分不必要条件

C、若p且q为假命题,则p、q均为假命题

D、命题p:“,使得”,则均有

查看答案和解析>>

科目:高中数学 来源:2016届福建省高三上第二次月考理科数学试卷(解析版) 题型:解答题

(本小题满分12分)

在平面直角坐标系中,为原点,,动点满足,求(Ⅰ)动点的轨迹;(Ⅱ)求的最大值.

查看答案和解析>>

科目:高中数学 来源:2015-2016学年辽宁省高二上期中文科数学试卷(解析版) 题型:解答题

实数满足,其中实数满足

(1)若,且为真,求实数的取值范围;

(2)若的必要不充分条件,求实数的取值范围.

查看答案和解析>>

科目:高中数学 来源:2015-2016学年江西省高二上期中文科数学试卷(解析版) 题型:选择题

设函数的导函数为,对任意R都有成立,则( )

A.

B.

C.

D.的大小不确定

查看答案和解析>>

同步练习册答案