精英家教网 > 高中数学 > 题目详情

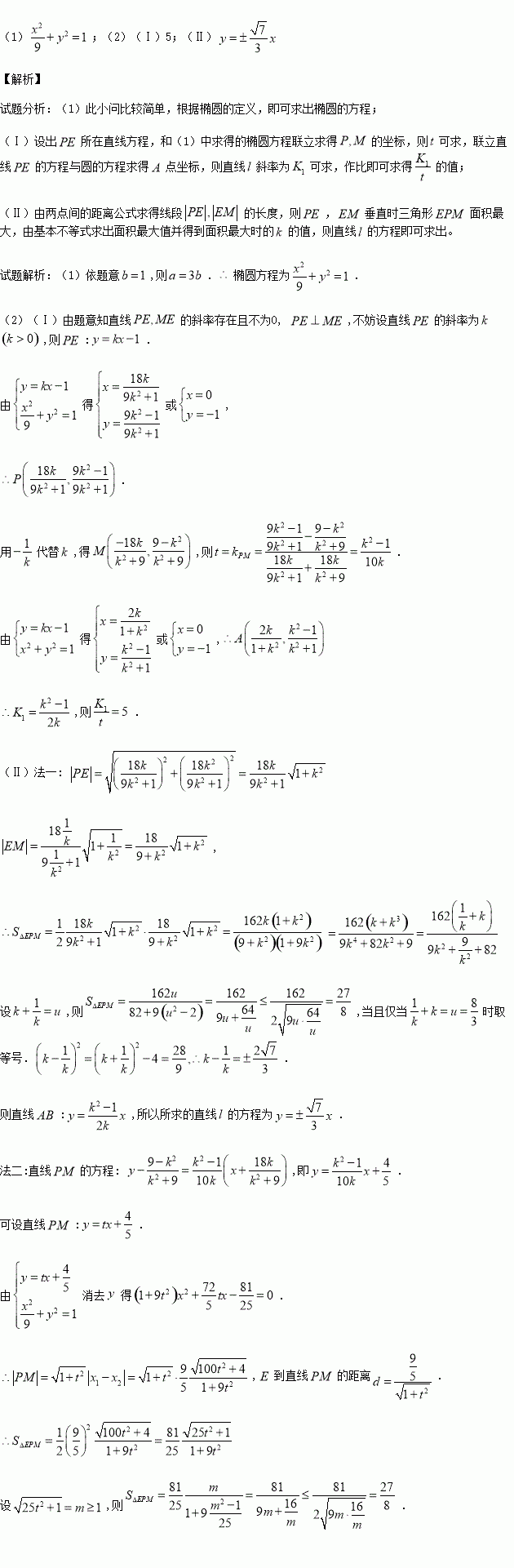
(本小题满分12分)如图,椭圆)和圆,已知圆将椭圆的长轴三等分,且圆的面积为.椭圆的下顶点为,过坐标原点且与坐标轴不重合的任意直线与圆相交于点,直线与椭圆的另一个交点分别是点

(1)求椭圆的方程;

(2)(Ⅰ)设的斜率为,直线斜率为,求的值;

(Ⅱ)求△面积最大时直线的方程.

练习册系列答案
相关习题

科目:高中数学 来源:2015-2016学年广东省普宁市高二上期中理科数学试卷(解析版) 题型:解答题

(本小题满分12分)

已知函数的图像经过点

(1)求的值;

(2)在中,所对的边分别为,若,且.求

查看答案和解析>>

科目:高中数学 来源:2016届辽宁省抚顺市高三上学期第一次模拟文科数学试卷(解析版) 题型:选择题

已知三棱柱的6个顶点都在球的球面则球的半径为( )

A. B. C. D.

查看答案和解析>>

科目:高中数学 来源:2016届贵州省贵阳市高三上学期第三次月考文科数学试卷(解析版) 题型:选择题

是两个非零向量,若函数的图象是一条直线,则必有( )

A. B. C. D.

查看答案和解析>>

科目:高中数学 来源:2015-2016学年江西南昌二中高二上学期期中文科数学试卷(解析版) 题型:解答题

(本小题满分12分).已知双曲线与椭圆有共同的焦点,点在双曲线上.

(Ⅰ)求双曲线的方程;

(Ⅱ)以为中点作双曲线的一条弦,求弦所在直线的方程.

查看答案和解析>>

科目:高中数学 来源:2015-2016学年江西南昌二中高二上学期期中理科数学试卷(解析版) 题型:选择题

与椭圆共焦点且过点的双曲线方程是

A. B.

C. D.

查看答案和解析>>

科目:高中数学 来源:2015-2016学年吉林实验中学高二上学期期中文科数学试卷(解析版) 题型:解答题

(本题满分12分)

已知圆,圆,动圆与圆外切并且与圆内切,圆心的轨迹为曲线

(1)求曲线的轨迹方程;

(2)是与圆以及圆都相切的一条直线,与曲线交于两点,当圆的半径最长时,

的长.

查看答案和解析>>

科目:高中数学 来源:2015-2016学年湖南省常德市高一上学期期中数学试卷(解析版) 题型:填空题

若函数满足,则___________.

查看答案和解析>>

科目:高中数学 来源:2015-2016学年福建省高一上学期期中数学试卷(解析版) 题型:选择题

设f(x)=3x + 3x-8,用二分法求方程3x + 3x-8=0在x∈(1,2)内近似解的过程中得f(1)<0,f(1.5)>0,f(1.25)<0,则方程的根落在区间( )

A.(1.25,1.5) B.(1,1.25) C.(1.5,2) D.不能确定

查看答案和解析>>

同步练习册答案