精英家教网 > 高中数学 > 题目详情

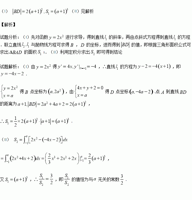
已知为抛物线上的点,直线过点,且与抛物线相切,直线交抛物线于点,交直线于点.

(I)设的面积为,求的值(结果用表示);

(II)由抛物线、直线所围成图形的面积为,求证; 的值恒为与无关的常数.

练习册系列答案
相关习题

科目:高中数学 来源:2016届河南省商丘市高三三模理科数学试就(解析版) 题型:选择题

在等差数列中,首项,公差,若,则( )

A. B. C. D.

查看答案和解析>>

科目:高中数学 来源:2015-2016学年江西省高一5月月考文科数学试卷(解析版) 题型:选择题

中,边的中点,设,则( )

A. B. C. D.

查看答案和解析>>

科目:高中数学 来源:2015-2016学年江西省高一5月月考理科数学试卷(解析版) 题型:选择题

已知二次函数的值域为,则的最小值是( )

A.2 B. C.4 D.

查看答案和解析>>

科目:高中数学 来源:2015-2016学年江西省高一5月月考理科数学试卷(解析版) 题型:选择题

为等比数列的前项和,已知,则公比( )

A.3 B.4 C.5 D.6

查看答案和解析>>

科目:高中数学 来源:2015-2016学年福建省高二下期中理科数学试卷(解析版) 题型:填空题

已知命题“在等差数列中,若,则”,在正项等比数列中,若,用类比上述命题,则可得到

查看答案和解析>>

科目:高中数学 来源:2015-2016学年福建省高二下期中理科数学试卷(解析版) 题型:选择题

,则的值为( )

A.2 B.-2 C.8 D.-8

查看答案和解析>>

科目:高中数学 来源:2015-2016学年陕西省西安市高二下期中数学试卷(解析版) 题型:填空题

在△ABC中,设AD为BC边上的高,且AD ? BC,b,c分别表示角B,C所对的边长,则的取值范围是____________.

查看答案和解析>>

科目:高中数学 来源:2016届陕西西北工大附中高三下第六次训练理数学卷(解析版) 题型:解答题

已知函数

(1)求的最小值;

(2)若,判断方程在区间内实数解的个数;

(3)证明:对任意给定的,总存在正数,使得当时,恒有

查看答案和解析>>

同步练习册答案