精英家教网 > 高中数学 > 题目详情

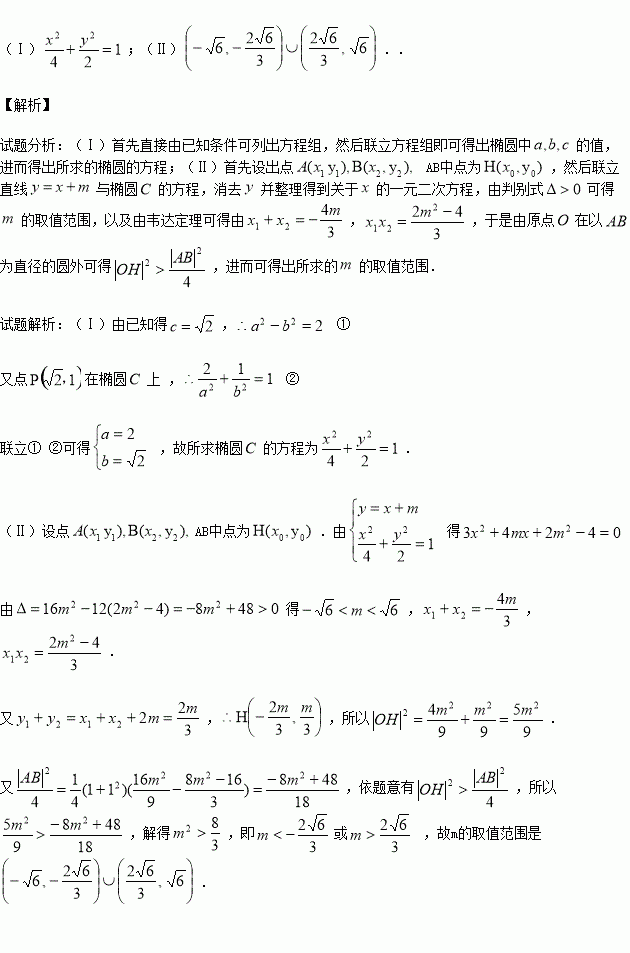
已知椭圆 的焦点为,点在C上,且轴.

(Ⅰ)求椭圆的方程;

(Ⅱ) 若直线与椭圆交于不同的两点,原点在以为直径的圆外,求的取值范围.

练习册系列答案
相关习题

科目:高中数学 来源:2015-2016学年湖南株洲二中高二上第三次月考理数学卷(解析版) 题型:选择题

已知函数,则其导函数的图象大致是( )

查看答案和解析>>

科目:高中数学 来源:2016届河北省邯郸市高三一轮收官考试一理科数学试卷(解析版) 题型:填空题

已知数列满足),则的最小值为

查看答案和解析>>

科目:高中数学 来源:2016届福建省高三上学期期中文科数学试卷(解析版) 题型:解答题

分别是椭圆的左右焦点,上一点且轴垂直,直线的另一个交点为

(Ⅰ)若直线的斜率为,求的离心率;

(Ⅱ) 若直线轴上的截距为2,且,求

查看答案和解析>>

科目:高中数学 来源:2016届福建省高三上学期期中理科数学试卷(解析版) 题型:填空题

已知曲线在点处的切线的斜率为,直线轴、轴分别于点,且,给出以下结论:

②当时,的最小值为

③当时,

④当时,记数列的前项和为,则

其中正确的结论有 (写出所有正确结论的序号).

查看答案和解析>>

科目:高中数学 来源:2016届福建省高三上第二次月考理科数学试卷(解析版) 题型:解答题

(本小题满分12分)

平面直角坐标系中,过椭圆右焦点的直线两点,的中点,且的斜率为

(Ⅰ)求的方程;

(Ⅱ)若上的两点,若四边形的对角线,求四边形面积的最大值.

查看答案和解析>>

科目:高中数学 来源:2015-2016学年西藏日喀则一中高二12月文科数学试卷(解析版) 题型:填空题

给定下列四个命题:其中为真命题的是 .(填上正确命题的序号)

①“”是“”的充分不必要条件;

②若“”为真,则“”为真;

③已知,则“”是“”的充分不必要条件;

④“若,则”的逆否命题为真命题.

查看答案和解析>>

科目:高中数学 来源:2015-2016学年辽宁省高二上期中理科数学试卷(解析版) 题型:选择题

已知是椭圆长轴的两个端点, 是椭圆上关于轴对称的两点,直线的斜率分别为,若椭圆的离心率为,则的最小值为( )

A. B. C. D.

查看答案和解析>>

科目:高中数学 来源:2015-2016学年湖南师大附中高二上第二次段测文科数学卷(解析版) 题型:选择题

已知命题,则为( )

A. B.

C. D.

查看答案和解析>>

同步练习册答案