精英家教网 > 高中数学 > 题目详情

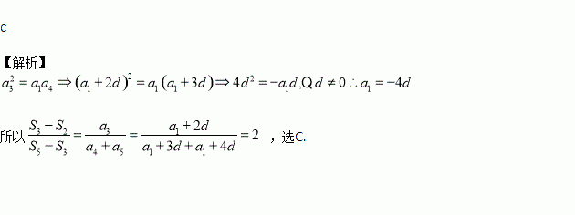
已知公差不为的等差数列满足成等比数列, 为数列的前项和,则的值为( )

A. B. C. D.

练习册系列答案
相关习题

科目:高中数学 来源:2015-2016学年西藏日喀则一中高二6月月考数学试卷(解析版) 题型:填空题

已知变量取如下观测数据:

x

0

1

3

4

y

2.4

4.5

4.6

6.5

的回归方程是,则其中的值应为 .

查看答案和解析>>

科目:高中数学 来源:2016届云南省高三下第八次月考文科数学试卷(解析版) 题型:选择题

将函数的图象分别向左和向右移动之后的图象的对称中心重合,则正实数的最小值是( )

A. B. C. D.

查看答案和解析>>

科目:高中数学 来源:2016届云南省高三下第八次月考理科数学试卷(解析版) 题型:填空题

如图,四边形ABCD和ADPQ均为正方形,它们所在的平面互相垂直,动点M在线段PQ上,E、F分别为AB、BC的中点。设异面直线EM与AF所成的角为,则的最大值为

查看答案和解析>>

科目:高中数学 来源:2016届云南省高三下第八次月考理科数学试卷(解析版) 题型:选择题

中国古代数学名著《九章算术》中记载了公元前344年商鞅督造一种标准量器———商鞅铜方升,其三视图如图所示(单位:寸),若取3,其体积为12.6(立方寸),则图中的为( )

A. 1.2 B. 1.6 C. 1.8 D. 2.4

查看答案和解析>>

科目:高中数学 来源:2016届黑龙江大庆实验中学高三考前训练一理科数学试卷(解析版) 题型:解答题

选修4—4:坐标系与参数方程

在平面直角坐标系xOy中,直线l的参数方程为,它与曲线C:交于A、B两点.

(1)求|AB|的长;

(2)在以O为极点,x轴的正半轴为极轴建立极坐标系,设点P的极坐标为,求点P到线段AB中点M的距离.

查看答案和解析>>

科目:高中数学 来源:2016届黑龙江大庆实验中学高三考前训练一理科数学试卷(解析版) 题型:填空题

在正项等比数列中,,则满足的最大正整数的值为________.

查看答案和解析>>

科目:高中数学 来源:2016届河南郑州一中高三文考前冲刺一文科数学试卷(解析版) 题型:解答题

选修4-1:几何证明选讲

如图所示,圆O的直径AB=10,P是AB延长线上的一点,BP=2,割线PCD交圆O于点C,D,过点P作AP的垂线,交直线AC于点E,交直线AD于点F.

(1)求证:PEC=PDF;

(2)求的值.

查看答案和解析>>

科目:高中数学 来源:2015-2016学年安徽六安一中高一下周末统测十六数学试卷(解析版) 题型:解答题

偏差是指个别测定值与测定的平均值之差,在成绩统计中,我们把某个同学的某科考试成绩与该科班平均分的差叫某科偏差,在某次考试成绩统计中,某老师为了对学生数学偏差(单位:分)与物理偏差(单位:分)之间的关系进行分析,随机挑选了8位同学,得到他们的两科成绩偏差数据如下:

学生序号

1

2

3

4

5

6

7

8

数学偏差

20

15

13

3

2

-5

-10

-18

物理偏差

6.5

3.5

3.5

1.5

0.5

-0.5

-2.5

-3.5

(1)若之间具有线性相关关系,求关于的线性回归方程;

(2)若该次考试该数学平均分为120分,物理平均分为91.5分,试由(1)的结论预测数学成绩为128分的同学的物理成绩.

参考数据:

查看答案和解析>>

同步练习册答案