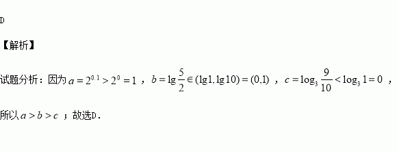
精英家教网 > 高中数学 > 题目详情

,则的大小关系是( )

A. B. C. D.

练习册系列答案
相关习题

科目:高中数学 来源:2015-2016学年河北省高二下期中理科数学试卷(解析版) 题型:选择题

,则等于( )

A. B.-1 C. D.

查看答案和解析>>

科目:高中数学 来源:2015-2016学年安徽黄山屯溪一中高二下期中数学试卷(解析版) 题型:填空题

观察下列等式:

……

按此规律,第10个等式的右边等于­­­­­­­­­­­­­­­­­______.

查看答案和解析>>

科目:高中数学 来源:2015-2016学年湖南长郡中学高一上第三次检测数学试卷(解析版) 题型:填空题

对任意的,不等式恒成立,则实数的取值范围是 .

查看答案和解析>>

科目:高中数学 来源:2015-2016学年湖南长郡中学高一上第三次检测数学试卷(解析版) 题型:选择题

要得到函数的图象,只需要将函数的图象( )

A.向左平移个单位 B.向左平移个单位

C.向右平移个单位 D.向右平移个单位

查看答案和解析>>

科目:高中数学 来源:2015-2016学年湖北省高二下期中数学试卷(解析版) 题型:解答题

如图,已知AB⊥平面ACD,DE⊥平面ACD,△ACD为等边三角形,AD=DE=4AB,F为CD的靠近C的四等分点.

(1)求证:AF∥平面BCE;

(2)请问:平面BCE与平面CDE是否互相垂直?请证明你的结论.

查看答案和解析>>

科目:高中数学 来源:2015-2016学年湖北省高二下期中数学试卷(解析版) 题型:选择题

已知之间满足,下列命题中正确的个数是( )

(1)方程表示的曲线经过点,则

(2)动点在曲线上变化,则的最大值为

(3)由能确定一个函数关系式

(4)方程表示的曲线是焦点在y轴上的椭圆,点(1,2)在该椭圆外,则b成立的等价范围是

A.0个 B.1个 C.2个 D.3个

查看答案和解析>>

科目:高中数学 来源:2016年全国普通高等学校招生统一考试理科数学(上海卷参考版) 题型:选择题

是定义域为的三个函数,对于命题:①若均为增函数,则中至少有一个增函数;②若均是以为周期的函数,则均是以为周期的函数,下列判断正确的是( )

(A)①和②均为真命题

(B)①和②均为假命题

(C)①为真命题,②为假命题

(D)①为假命题,②为真命题

查看答案和解析>>

科目:高中数学 来源:2016年全国普通高等学校招生统一考试理科数学(山东卷参考版) 题型:解答题

平面直角坐标系中,椭圆C: 的离心率是,抛物线E:的焦点F是C的一个顶点.

(Ⅰ)求椭圆C的方程;

(Ⅱ)设P是E上的动点,且位于第一象限,E在点P处的切线与C交与不同的两点A,B,线段AB的中点为D,直线OD与过P且垂直于x轴的直线交于点M.

(i)求证:点M在定直线上;

(ii)直线与y轴交于点G,记的面积为的面积为,求的最大值及取得最大值时点P的坐标.

查看答案和解析>>

同步练习册答案