精英家教网 > 高中数学 > 题目详情

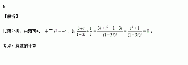
复数等于( )

A. B. C. D.0

练习册系列答案
相关习题

科目:高中数学 来源:2014-2015学年安徽省高二4月月考理科数学试卷(解析版) 题型:选择题

下列推理正确的是( )

(A)把类比,则有

(B)把类比,则有

(C)把类比,则有

(D)把类比,则有

查看答案和解析>>

科目:高中数学 来源:2014-2015学年湖北省等四校高三下学期期中理科数学试卷(解析版) 题型:选择题

下列选项中,说法正确的是

A.若命题“”为真命题,则命题和命题均为真命题

B.的必要不充分条件

C.的充要条件

D.命题“若构成空间的一个基底,则构成空间的一个基底”的否命题为真命题

查看答案和解析>>

科目:高中数学 来源:2014-2015学年黑龙江省高三下学期第三次模拟理科数学试卷(解析版) 题型:填空题

5位同学排队,其中3位女生,2位男生.如果2位男生不能相邻,且女生甲不能排在排头,则排法种数为 .

查看答案和解析>>

科目:高中数学 来源:2014-2015学年黑龙江省高三下学期第三次模拟理科数学试卷(解析版) 题型:选择题

执行如图所示的程序框图,若输入的值为8,则输出的值为( )

A.4 B.8 C.10 D.12

查看答案和解析>>

科目:高中数学 来源:2014-2015学年海南省高三5月月考理科数学试卷(解析版) 题型:解答题

(本小题满分12分)己知函数

(1)讨论函数的单调区间;

(2)设,当时,若对任意的都有,求实数的取值范围;

(3)求证:

查看答案和解析>>

科目:高中数学 来源:2014-2015学年海南省高三5月月考理科数学试卷(解析版) 题型:填空题

已知数列是等差数列,为其前项和,若成等比数列,则

查看答案和解析>>

科目:高中数学 来源:2014-2015学年江西省高三5月模拟试卷理科数学试卷(解析版) 题型:解答题

(本小题满分12分)

己知函数

(1)若关于的不等式恒成立,求整数的最小值;

(2)若,正实数满足,证明:

查看答案和解析>>

科目:高中数学 来源:2014-2015学年江苏省高三4月双周测数学试卷(解析版) 题型:填空题

函数的单调递减区间为 .

查看答案和解析>>

同步练习册答案