精英家教网 > 高中数学 > 题目详情

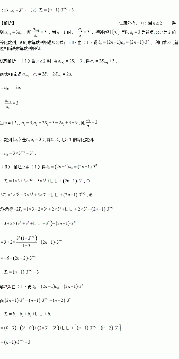
是数列的前项和,已知.

(1)求数列的通项公式;

(2)令,求数列的前项和.

练习册系列答案
相关习题

科目:高中数学 来源:2015-2016学年广东广州执信中学高二下期末理科数学试卷(解析版) 题型:选择题

等差数列中,,则的值是( )

A.22 B.16 C.15 D.18

查看答案和解析>>

科目:高中数学 来源:2015-2016学年广东实验中学等高二下期末文科数学试卷(解析版) 题型:解答题

选修4-1:几何证明选讲

如图,AB是⊙O的直径,AC是⊙O的切线,BC交⊙O于点E.

(Ⅰ)若D为AC的中点,证明:DE是⊙O的切线;

(Ⅱ)若OA=CE,求∠ACB的大小.

查看答案和解析>>

科目:高中数学 来源:2015-2016学年广东实验中学等高二下期末文科数学试卷(解析版) 题型:选择题

已知圆C:与抛物线D:y2=20x的准线交于A,B两点,且|AB|=8,则圆C的面积是( )

A.5π B.9π C.16π D.25π

查看答案和解析>>

科目:高中数学 来源:2016届湖北省高三5月一模理科数学试卷(解析版) 题型:解答题

选修4-1:几何证明选讲

如图,四边形是圆的内接四边形,是圆的直径,的延长线与的延长线交于点,过,垂足为点.

(1)证明:是圆的切线;

(2)若,求的长.

查看答案和解析>>

科目:高中数学 来源:2016届湖北省高三5月一模理科数学试卷(解析版) 题型:选择题

如图,网格纸上小正方形的边长为1,粗线画出的是某四面体的三视图,则该四面体的外接球半径为( )

A. B. C. D.

查看答案和解析>>

科目:高中数学 来源:2016届湖北省高三5月一模理科数学试卷(解析版) 题型:选择题

现有4种不同的颜色为我校校训四个主题词(如图)涂色,则相邻的词语涂色不同的概率为( )

A. B. C. D.

查看答案和解析>>

科目:高中数学 来源:2016届山东省济宁市高三下第三次模拟文科数学试卷(解析版) 题型:选择题

满足约束条件,若的最大值与最小值的差为5,则等于( )

A.3 B.2 C.-2 D.-3

查看答案和解析>>

科目:高中数学 来源:2015-2016学年山西省高二下期末文科数学试卷(解析版) 题型:选择题

定义在上的函数对任意都有,且函数的图像关于成中心对称,对于,总存在使不等式成立,求的取值范围是( )

A. B. C. D.

查看答案和解析>>

同步练习册答案