精英家教网 > 高中数学 > 题目详情

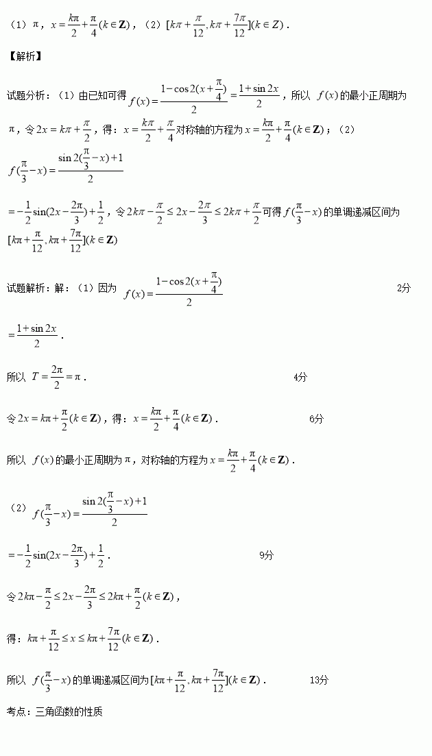
(本小题满分13分)已知函数

(1)求的最小正周期及其图象的对称轴方程;

(2)求的单调递减区间.

练习册系列答案
相关习题

科目:高中数学 来源:2014-2015学年北京市延庆县高三3月模拟文科数学试卷(解析版) 题型:选择题

在边长为2的正方形ABCD中,E,F分别为BC和

DC的中点,则( )

A. B. C. D.

查看答案和解析>>

科目:高中数学 来源:2014-2015学年北京市顺义区高三第一次统一练习(一模)理科数学试卷(解析版) 题型:选择题

时,执行如图所示的程序框图,输出的值为

A.2 B.4 C.7 D.11

查看答案和解析>>

科目:高中数学 来源:2014-2015学年北京市海淀区高三下学期期中练习(一模)文科数学试卷(解析版) 题型:选择题

满足则下列不等式恒成立的是( )

(A) (B) (C) (D)

查看答案和解析>>

科目:高中数学 来源:2014-2015学年北京市海淀区高三下学期期中练习(一模)理科数学试卷(解析版) 题型:解答题

(本小题满分14分)

有限数列同时满足下列两个条件:

①对于任意的),

②对于任意的),三个数中至少有一个数是数列中的项.[来

(1)若,且,求的值;

(2)证明:不可能是数列中的项;

(3)求的最大值.

查看答案和解析>>

科目:高中数学 来源:2014-2015学年北京市海淀区高三下学期期中练习(一模)理科数学试卷(解析版) 题型:填空题

执行如图所示的程序框图,输出的值为______.

查看答案和解析>>

科目:高中数学 来源:2014-2015学年北京市海淀区高三下学期期中练习(一模)理科数学试卷(解析版) 题型:选择题

已知向量与向量的夹角为,则( )

A. B. C. D.

查看答案和解析>>

科目:高中数学 来源:2014-2015学年山东省滕州市高一上学期期末考试数学试卷(解析版) 题型:选择题

函数(其中)的图象如下面右图所示,则函数的图象是( )

查看答案和解析>>

科目:高中数学 来源:2014-2015学年山东省菏泽市高二上学期期末考试理科数学试卷(解析版) 题型:选择题

在△ABC中,若,三边为的范围是( )

A. B. C. D.

查看答案和解析>>

同步练习册答案