精英家教网 > 高中数学 > 题目详情

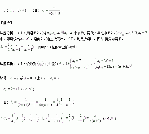
已知公差不为零的等差数列中,,且成等比数列.

(Ⅰ)求数列的通项公式;

(Ⅱ)令),求数列的前项和

练习册系列答案
相关习题

科目:高中数学 来源:2015-2016学年山东潍坊中学高二上学期期末理科数学试卷(解析版) 题型:选择题

下列说法正确的是( )

A.命题“若,则”的否命题是“若,则

B.命题“若,则”的逆否命题是“若,则

C.命题“”的否命题是“

D.命题“”的否命题是“

查看答案和解析>>

科目:高中数学 来源:2015-2016学年辽宁省高二12月月考理科数学卷(解析版) 题型:选择题

已知直线l、m,平面α,且m?α,则l∥m是l∥α的( )

A.充分不必要条件

B.必要不充分条件

C.充要条件

D.既不充分也不必要条件

查看答案和解析>>

科目:高中数学 来源:2015-2016学年宁夏石嘴山三中高二上期中文科数学试卷(解析版) 题型:选择题

下列说法错误的是( )

A.若p:?x∈R,x2-x+1=0,则?p:?x∈R,x2-x+1≠0

B.“sinθ=”是“θ=30°”的充分不必要条件

C.命题“若a=0,则ab=0”的否命题是“若a≠0,则ab≠0”

D.已知p:?x∈R,cosx=1,q:?x∈R,x2-x+1>0,则“p∧(?q)”为假命题

查看答案和解析>>

科目:高中数学 来源:2015-2016学年宁夏石嘴山三中高二上第一次月考数学试卷(解析版) 题型:解答题

为了分析某个高中学生的学习状态,对其下一阶段的学习提供指导性建议.现对他前7次考试的数学成绩、物理成绩进行分析.下面是该生7次考试的成绩,可见该生的物理成绩与数学成绩是线性相关的:

数学

88

83

117

92

108

100

112

物理

94

91

108

96

104

101

105

(1)求物理成绩与数学成绩的回归直线方程

(2)若该生的物理成绩达到115分,请你估计他的数学成绩大约是多少?

参考公式:

参考数据:

查看答案和解析>>

科目:高中数学 来源:2015-2016学年江西省高一上第三次考试数学试卷(解析版) 题型:解答题

已知函数,其中

(1)若,且的最大值为,最小值为,试求函数的最小值;

(2)若对任意实数,不等式恒成立,且存在使得成立,求的值;

(3)对于问(1)中的,若对任意的,恒有,求的取值范围.

查看答案和解析>>

科目:高中数学 来源:2015-2016学年江苏省高二上期中考试数学试卷(解析版) 题型:填空题

在正三棱锥S-ABC中,M,N分别是棱SC、BC的中点,且MN⊥AM,若侧棱SA=,则正三棱锥S-ABC外接球的表面积是______________.

查看答案和解析>>

科目:高中数学 来源:2015-2016学年江苏省盱眙、洪泽等校高一上学期期中联考数学试卷(解析版) 题型:填空题

若函数为偶函数,则的值为

查看答案和解析>>

科目:高中数学 来源:2016届中国人大附中高三上期中检测文科数学试卷(解析版) 题型:解答题

已知数列是等差数列,数列是公比大于零的等比数列,且

(1)求数列的通项公式;

(2)记,求数列的前n项和

查看答案和解析>>

同步练习册答案