精英家教网 > 高中数学 > 题目详情

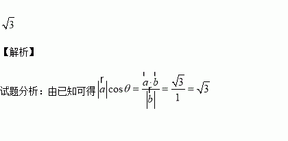
已知向量,则方向上的投影是 .

练习册系列答案
相关习题

科目:高中数学 来源:2015-2016学年福建省厦门市高一下期初考试数学试卷(解析版) 题型:解答题

某学校为了了解高三学生月考的数学成绩从甲、乙两班各抽取10名学生并统计他们的成绩,成绩均为整数且满分为100分,成绩如下::

甲班:97,81,91,80,89,79,92,83,85,93

乙班:60,80,87,77,96,64,76,60,84,96

(1)根据抽取结果填写茎叶图,并根据所填写的茎叶图,对甲、乙两班的成绩做对比,写出两个统计结论。

(2)若可计算得抽取甲班的10名学生的数学成绩的平均值为=87,将10名甲班学生的数学成绩依次输入按程序框图进行运算,问输出的S大小为多少,并说明S的统计学意义;

(3)学校规定成绩在90分以上为优秀,现准备从甲乙两班所抽取的学生中选取两名成绩为优秀的学生参加数学竞赛求至少有一名乙班学生参加数学竞赛的概率.

查看答案和解析>>

科目:高中数学 来源:2015-2016学年江西省抚州市高二3月月考理科数学试卷(解析版) 题型:解答题

已知椭圆的右焦点为,且点在椭圆上.

⑴求椭圆的标准方程;

⑵已知动直线过点且与椭圆交于两点.试问轴上是否存在定点,使得恒成立?若存在,求出点Q的坐标;若不存在,请说明理由.

查看答案和解析>>

科目:高中数学 来源:2015-2016学年江西省抚州市高二3月月考理科数学试卷(解析版) 题型:选择题

使函数为奇函数,且在上是减函数的的一个值是( )

A. B. C. D.

查看答案和解析>>

科目:高中数学 来源:2015-2016学年广东省高二下第一次月考文科数学试卷(解析版) 题型:解答题

已知函数

(Ⅰ)求的值;

(Ⅱ)求函数的最小正周期;

(Ⅲ)求函数的最小值.

查看答案和解析>>

科目:高中数学 来源:2015-2016学年广东省高二下第一次月考文科数学试卷(解析版) 题型:选择题

已知函数f(x)=sin(ωx+φ)(其中ω>0,|φ|<图象相邻对称轴的距离为,一个对称轴中心为(﹣,0),为了得到g(x)=cosωx的图象,则只要将f(x)的图象( )

A.向右平移个单位 B.向右平移个单位

C.向左平移个单位 D.向左平移个单位

查看答案和解析>>

科目:高中数学 来源:2015-2016学年广东省高二下第一次月考文科数学试卷(解析版) 题型:选择题

是虚数单位,复数( )

A. B. C. D.

查看答案和解析>>

科目:高中数学 来源:2015-2016学年广东省高二下第一次月考理科数学试卷(解析版) 题型:选择题

将函数图象向左平移个单位,所得函数图象的一条对称轴的方程是( )

A. B. C. D.

查看答案和解析>>

科目:高中数学 来源:2015-2016学年福建省四地六校高二下学期第一次联考理科数学试卷(解析版) 题型:选择题

若函数上不是单调函数,则实数k的取值范围( )

A.

B.

C.

D.不存在这样的实数k

查看答案和解析>>

同步练习册答案