精英家教网 > 高中数学 > 题目详情
已知函数f(x)=ax+且a>0,
(Ⅰ)若曲线f(x)在(1,f(1))处的切线与y=x平行,求实数a的值;
(Ⅱ)若x∈(0,2],求函数f(x)的最小值;
(Ⅲ)设函数g(x)=+lnx,若f(x)与g(x)的图象在区间(1,e2)上有两个不同的交点,求实数a的取值范围。
解:(Ⅰ)
依题意
故a=2;
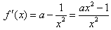
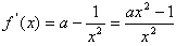
(Ⅱ)
,即f(x)在上单调递减;
,即f(x)在上单调递增;
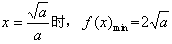
(1)当时,
可知f(x)在(0,2]是减函数,
故x=2时,
(2)当时,
可知f(x)在递增,

综上所述,当
(Ⅲ)设(x>0),


,所以h(x)的减区间为
,所以h(x)的增区间为
所以当,h(x)取极小值
f(x)与g(x)的图象在(1,e2)上有两个不同的交点等价于h(x)在(1,e2)上有两个不同零点,
 故只需
故实数a的取值范围是
练习册系列答案
相关习题

科目:高中数学 来源: 题型:

已知函数f(x)=
a-x2
x
+lnx  (a∈R , x∈[
1
2
 , 2])

(1)当a∈[-2,
1
4
)
时,求f(x)的最大值;
(2)设g(x)=[f(x)-lnx]•x2,k是g(x)图象上不同两点的连线的斜率,否存在实数a,使得k≤1恒成立?若存在,求a的取值范围;若不存在,请说明理由.

查看答案和解析>>

科目:高中数学 来源: 题型:

(2009•海淀区二模)已知函数f(x)=a-2x的图象过原点,则不等式f(x)>
34
的解集为
(-∞,-2)
(-∞,-2)

查看答案和解析>>

科目:高中数学 来源: 题型:

已知函数f(x)=a|x|的图象经过点(1,3),解不等式f(
2x
)>3

查看答案和解析>>

科目:高中数学 来源: 题型:

已知函数f(x)=a•2x+b•3x,其中常数a,b满足a•b≠0
(1)若a•b>0,判断函数f(x)的单调性;
(2)若a=-3b,求f(x+1)>f(x)时的x的取值范围.

查看答案和解析>>

科目:高中数学 来源: 题型:

已知函数f(x)=a-2|x|+1(a≠0),定义函数F(x)=
f(x)   ,  x>0
-f(x) ,    x<0
 给出下列命题:①F(x)=|f(x)|; ②函数F(x)是奇函数;③当a<0时,若mn<0,m+n>0,总有F(m)+F(n)<0成立,其中所有正确命题的序号是
 

查看答案和解析>>

同步练习册答案