精英家教网 > 高中数学 > 题目详情

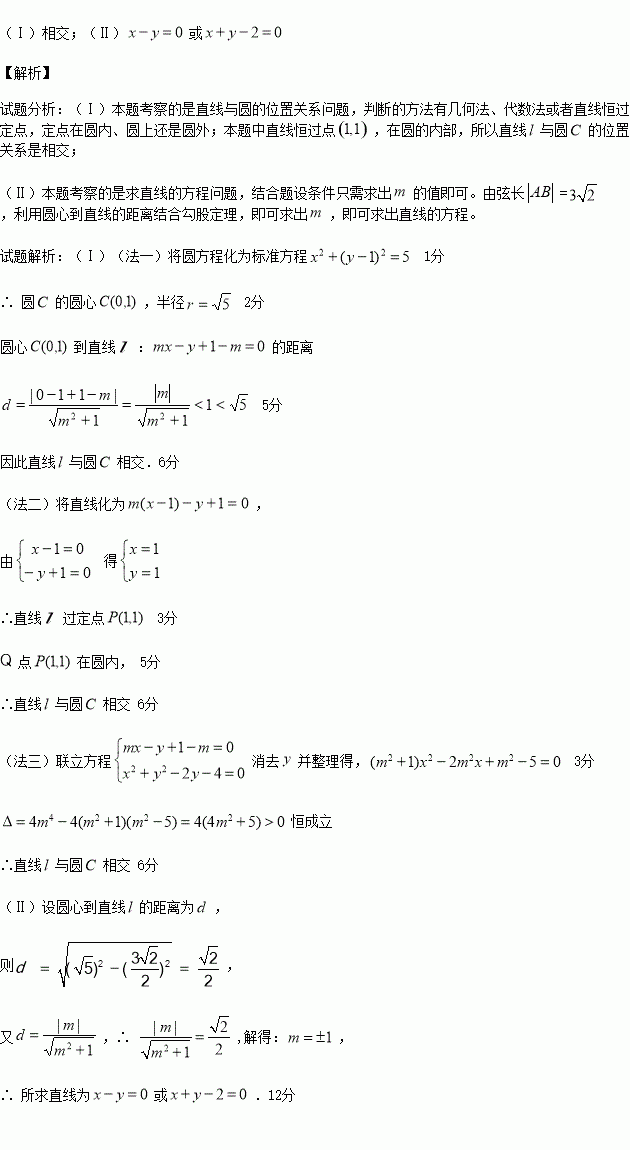
(本小题满分10分)已知圆C:,直线

(Ⅰ)判断直线与圆的位置关系。

(Ⅱ)若直线与圆交于不同两点,且=,求直线的方程。

练习册系列答案
相关习题

科目:高中数学 来源:2016届重庆市高三上学期第三次月考文科数学试卷(解析版) 题型:解答题

(本小题满分10分)选修4—4:参数方程选讲

极坐标系与直角坐标系有相同的长度单位,以原点为极点,以轴正半轴为极轴.已知曲线的极坐标方程为,曲线的参数方程为为参数,;射线与曲线分别交异于极点的四点

(1)若曲线关于曲线对称,求的值,并把曲线化成直角坐标方程;

(2)求的值.

查看答案和解析>>

科目:高中数学 来源:2016届黑龙江省牡丹江市高三上学期期中文科数学试卷(解析版) 题型:解答题

已知.(1)求函数的单调区间;

(2)若关于的方程有实数解,求实数的取值范围;

(3)当时,求证:

查看答案和解析>>

科目:高中数学 来源:2016届福建省高三上学期期中理科数学试卷(解析版) 题型:解答题

(本题满分12分)中,上的点,平分面积是面积的2倍.

(Ⅰ) 求

(Ⅱ)若,求的长.

查看答案和解析>>

科目:高中数学 来源:2015-2016学年江西南昌二中高二上学期期中文科数学试卷(解析版) 题型:填空题

过圆上一点的切线方程: __________

查看答案和解析>>

科目:高中数学 来源:2016届江西省南昌市高三上第四次考试文科数学试卷(解析版) 题型:解答题

如图,直三棱柱中,D是的中点.

(1)证明:平面

(2)设,求异面直线所成角的大小.

查看答案和解析>>

科目:高中数学 来源:2016届江西省南昌市高三上第四次考试理科数学试卷(解析版) 题型:填空题

已知实数满足,则 的取值范围为

查看答案和解析>>

科目:高中数学 来源:2016届黑龙江省高三12月月考文科数学试卷(解析版) 题型:选择题

“直线与圆相交”是“”的( )

A.充分不必要条件 B.必要不充分条件

C.充要条件 D.既不充分也不必要条件

查看答案和解析>>

科目:高中数学 来源:2016届江苏省高三上学期期中考试数学试卷(解析版) 题型:填空题

已知函数若函数有四个零点,则实数的所有可能取值构成的集合是________.

查看答案和解析>>

同步练习册答案