精英家教网 > 高中数学 > 题目详情

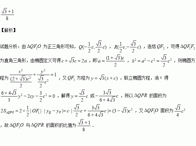
已知分别为椭圆的左、右焦点,为椭圆上的一点,且为坐标原点)为正三角形,若射线与椭圆分别相交于点,则的面积的比值为______.

练习册系列答案
相关习题

科目:高中数学 来源:2016届江苏省高三考前一周双练三模数学试卷(解析版) 题型:解答题

已知函数),

(1)求的单调区间;

(2)证明:

(3)证明:对任意正数,总存在,当时,都有

查看答案和解析>>

科目:高中数学 来源:2016届四川省高三下三诊考试理科数学试卷(解析版) 题型:解答题

,其中是正常数,且

(1)求函数的最值;

(2)对任意的正数,是否存在正数,使不等式成立?并说明理由;

(3)设,证明:对任意正数都有

查看答案和解析>>

科目:高中数学 来源:2016届四川省高三下三诊考试理科数学试卷(解析版) 题型:选择题

,使” 是“” 成立的( )

A.充分不必要条件 B.必要不充分条件

C.充要条件 D.即不充分也不必要条件

查看答案和解析>>

科目:高中数学 来源:2016届山西省高考考前质量检测三理科数学试卷(解析版) 题型:解答题

设函数.

(Ⅰ)当时,求曲线在点处的切线方程;

(Ⅱ)若对任意恒成立,求实数的取值范围.

查看答案和解析>>

科目:高中数学 来源:2016届山西省高考考前质量检测三理科数学试卷(解析版) 题型:选择题

若函数有零点,则实数的取值范围是( )

A. B. C. D.

查看答案和解析>>

科目:高中数学 来源:2016届山西省高考考前质量检测三理科数学试卷(解析版) 题型:选择题

已知,若圆与双曲线有公共点,则该双曲线离心率的取值范围是( )

A. B. C. D.

查看答案和解析>>

科目:高中数学 来源:2016届河南省商丘市高三第三次模拟文科数学试卷(解析版) 题型:选择题

已知数列,则( )

A. B. C. D.

查看答案和解析>>

科目:高中数学 来源:2015-2016学年山东省高二下期中文科数学试卷(解析版) 题型:填空题

如图是的导函数的图像,现有四种说法:

(1)上是增函数;

(2)的极小值点;

(3)上是减函数,在上是增函数;

(4)的极小值点;

以上正确的序号为 .

查看答案和解析>>

同步练习册答案