精英家教网 > 高中数学 > 题目详情

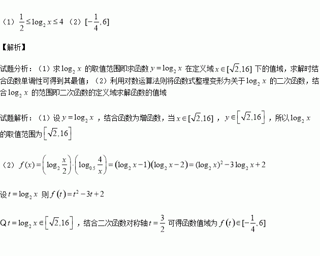
(本题满分8分)已知函数,求:

(1)求的取值范围;

(2)求的值域.

练习册系列答案
相关习题

科目:高中数学 来源:2014-2015学年山西省高二上学期第一次月考数学试卷(解析版) 题型:填空题

已知球的半径为,求其内接正方体的棱长__________.

查看答案和解析>>

科目:高中数学 来源:2016届西藏日喀则一中高三10月检测文科数学试卷(解析版) 题型:选择题

设全集,集合,则( )

A. B. C. D.

查看答案和解析>>

科目:高中数学 来源:2015-2016学年浙江省高一10月月考数学试卷(解析版) 题型:选择题

已知偶函数在区间上单调递增,则满足的取值范围是( )

A. B. C. D.

查看答案和解析>>

科目:高中数学 来源:2015-2016学年江西新余一中高一上第一次段考数学试卷(解析版) 题型:解答题

(满分12分)已知是定义在R上的奇函数,且当 时,

(Ⅰ)求的解析式;

(Ⅱ)问是否存在这样的正数a, b使得当 时,函数的值域为,若存在,求出所有a, b的值,若不存在,说明理由.

查看答案和解析>>

科目:高中数学 来源:2015-2016年湖南湘潭、岳阳一中高一上联考数学试卷(解析版) 题型:选择题

函数的图象与直线的交点有几个 ( )

A. B. C. D.

查看答案和解析>>

科目:高中数学 来源:2015-2016学年湖北宜昌一中高二上学期期中理科数学试卷(解析版) 题型:解答题

(本题满分10分)设集合,关于x的不等式的解集为B(其中a<0).

(Ⅰ)求集合B;

(Ⅱ)设p:x∈A,q:x∈B,且的必要不充分条件,求实数的取值范围.

查看答案和解析>>

科目:高中数学 来源:2015-2016学年广西桂林中学高二上期中考试理科数学试卷(解析版) 题型:解答题

(本小题满分10分)以坐标原点为中心,焦点在轴上的椭圆,长轴长为,短轴长为,过它的左焦点作倾斜角为的直线交椭圆于两点,求的长.

查看答案和解析>>

科目:高中数学 来源:2015-2016学年山西太原五中高二上第一次月考数学试卷(解析版) 题型:选择题

一个几何体的三视图如图,则该几何体的体积为( )

A. B. C. D.

查看答案和解析>>

同步练习册答案