精英家教网 > 高中数学 > 题目详情

(本小题满分13分)已知动点P到定点的距离和它到定直线的距离的比值为

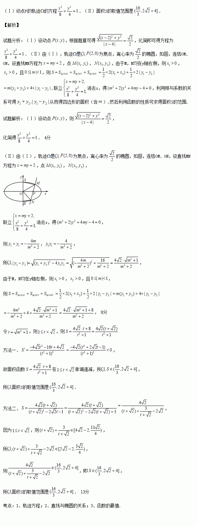
(Ⅰ)求动点P的轨迹的方程;

(Ⅱ)若过点F的直线与点P的轨迹相交于M,N两点(M,N均在y轴右侧),点,设A,B,M,N四点构成的四边形的面积为S,求S的取值范围.

练习册系列答案
相关习题

科目:高中数学 来源:2014-2015学年天津市高三上学期第二次月考文科数学试卷(解析版) 题型:选择题

定义一种运算,令为常数),且,则使函数最大值为4的值是( )

A. B. C. D.

查看答案和解析>>

科目:高中数学 来源:2014-2015学年天津市南开区高三一模理科数学试卷(解析版) 题型:选择题

在△ABC中,内角A,B,C的对边分别为a,b,c,且,则内角C=( ).

(A) (B)

(C) (D)

查看答案和解析>>

科目:高中数学 来源:2014-2015学年四川省资阳市高三第三次模拟考试文科数学试卷(解析版) 题型:填空题

已知,则_________.

查看答案和解析>>

科目:高中数学 来源:2014-2015学年四川省资阳市高三第三次模拟考试文科数学试卷(解析版) 题型:选择题

下列说法中,正确的是( )

(A)

(B)命题p:,则

(C)在△ABC中,“”是“△ABC为锐角三角形”的必要不充分条件

(D)已知,则“”是“”成立的充分不必要条件

查看答案和解析>>

科目:高中数学 来源:2014-2015学年四川省资阳市高三第三次模拟考试理科数学试卷(解析版) 题型:填空题

已知8个非零实数a1,a2,a3,a4,a5,a6,a7,a8,向量,给出下列命题:

①若a1,a2,…,a8为等差数列,则存在,使与向量共线;

②若a1,a2,…,a8为公差不为0的等差数列,向量,则集合M的元素有12个;

③若a1,a2,…,a8为等比数列,则对任意,都有

④若a1,a2,…,a8为等比数列,则存在,使·<0;

⑤若m=·,则m的值中至少有一个不小于0.

其中所有真命题的序号是________________.

查看答案和解析>>

科目:高中数学 来源:2014-2015学年四川省资阳市高三第三次模拟考试理科数学试卷(解析版) 题型:选择题

现有12张不同的卡片,其中红色、黄色、绿色、蓝色卡片各3张,从中任取3张,要求这3张卡片不能是同一种颜色,且蓝色卡片至多1张. 则不同的取法共有( )

(A)135 (B)172 (C)189 (D)216

查看答案和解析>>

科目:高中数学 来源:2014-2015学年新疆乌鲁木齐高三第一次诊断性测验文科数学卷(解析版) 题型:填空题

中,若 ,则面积的最大值为__________

查看答案和解析>>

科目:高中数学 来源:2014-2015学年广东省肇庆市高三第三次统一检测文科数学试卷(解析版) 题型:解答题

(本小题满分14分)如图,四棱锥P—ABCD的底面是边长为1的正方形,PD底面ABCD,PD=AD,E为PC的中点,F为PB上一点,且EFPB.

(1)证明:PA//平面EDB;

(2)证明:ACDF;

(3)求三棱锥B—ADF的体积.

查看答案和解析>>

同步练习册答案