精英家教网 > 高中数学 > 题目详情

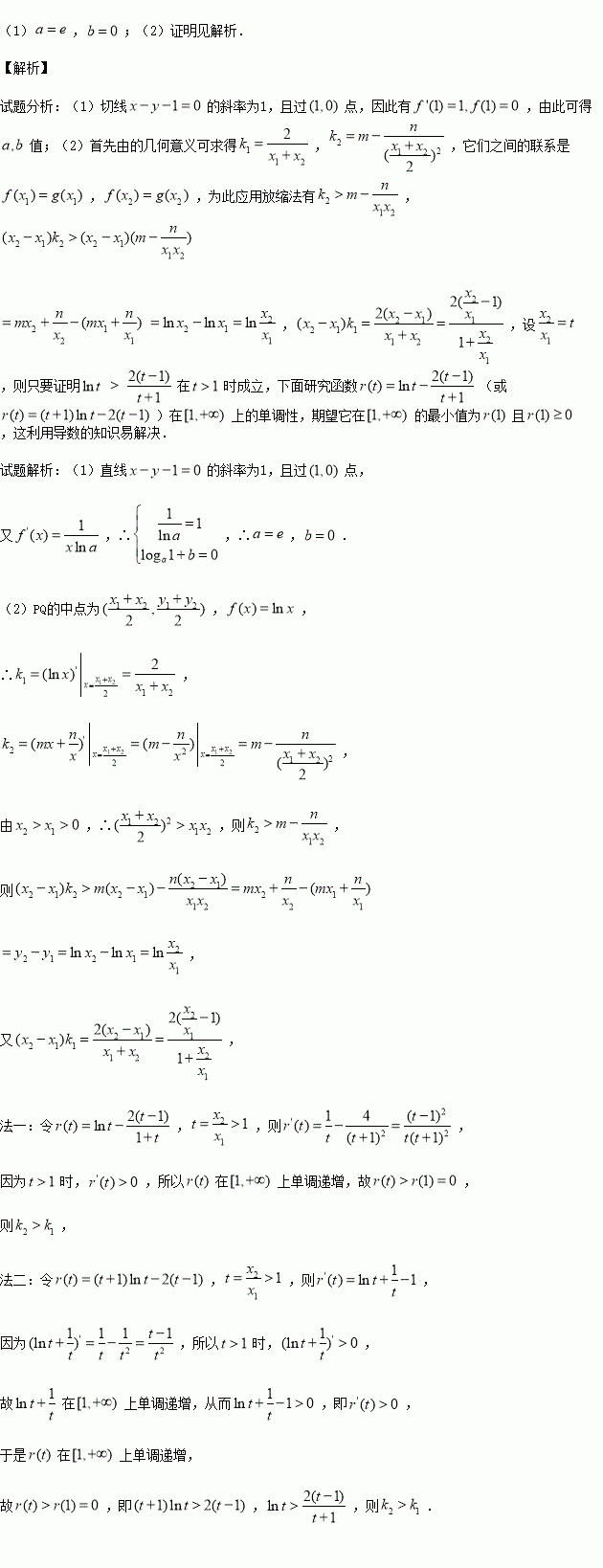
(16分)已知直线为曲线在点处的一条切线.

(1)求a,b的值;

(2)若函数的图象与函数的图象交于两点,其中,过PQ的中点R作x轴的垂线分别交于点M,N,设在点M处的切线的斜率为在点N处的切线的斜率为,求证:

练习册系列答案
相关习题

科目:高中数学 来源:2015-2016学年安徽省合肥市高一上学期期中数学试卷(解析版) 题型:选择题

,则实数的取值范围是( )

A.

B.

C.

D.

查看答案和解析>>

科目:高中数学 来源:2016届浙江省绍兴市高三上学期期中文科数学试卷(解析版) 题型:选择题

到两条互相垂直的异面直线距离相等的点的轨迹,被过一直线与另一直线垂直的平面所截,截得的曲线为( )

A.相交直线 B.双曲线 C.抛物线 D.椭圆弧

查看答案和解析>>

科目:高中数学 来源:2016届辽宁省沈阳市高三上学期期中文科数学试卷(解析版) 题型:解答题

设函数的图象在点处的切线的斜

率为,且函数为偶函数.若函数满足下列条件:①

②对一切实数,不等式恒成立.

(1)求函数的表达式;

(2)求证:

查看答案和解析>>

科目:高中数学 来源:2016届辽宁省沈阳市高三上学期期中理科数学试卷(解析版) 题型:解答题

设数列的前项和为,且

(1)求证:数列是等比数列;

(2)求数列的前项和

查看答案和解析>>

科目:高中数学 来源:2016届湖南省高三上第三次月考文数学卷(解析版) 题型:解答题

已知函数,设

(1)若处取得极值,且,求函数的单调区间;

(2)若时,函数有两个不同的零点.求证:

查看答案和解析>>

科目:高中数学 来源:2015-2016学年山西省高二上期中文科数学试卷(解析版) 题型:解答题

求斜率为且与坐标轴围成的三角形面积是6的直线方程.

查看答案和解析>>

科目:高中数学 来源:2015-2016学年江苏省高一创新班上期中数学试卷(解析版) 题型:解答题

已知集合

(1)求

(2)若,求的取值范围.

查看答案和解析>>

科目:高中数学 来源:2015-2016学年安徽省蚌埠市高一上学期期中数学试卷(解析版) 题型:解答题

化简、求值:

(1)

(2)计算

查看答案和解析>>

同步练习册答案