精英家教网 > 高中数学 > 题目详情

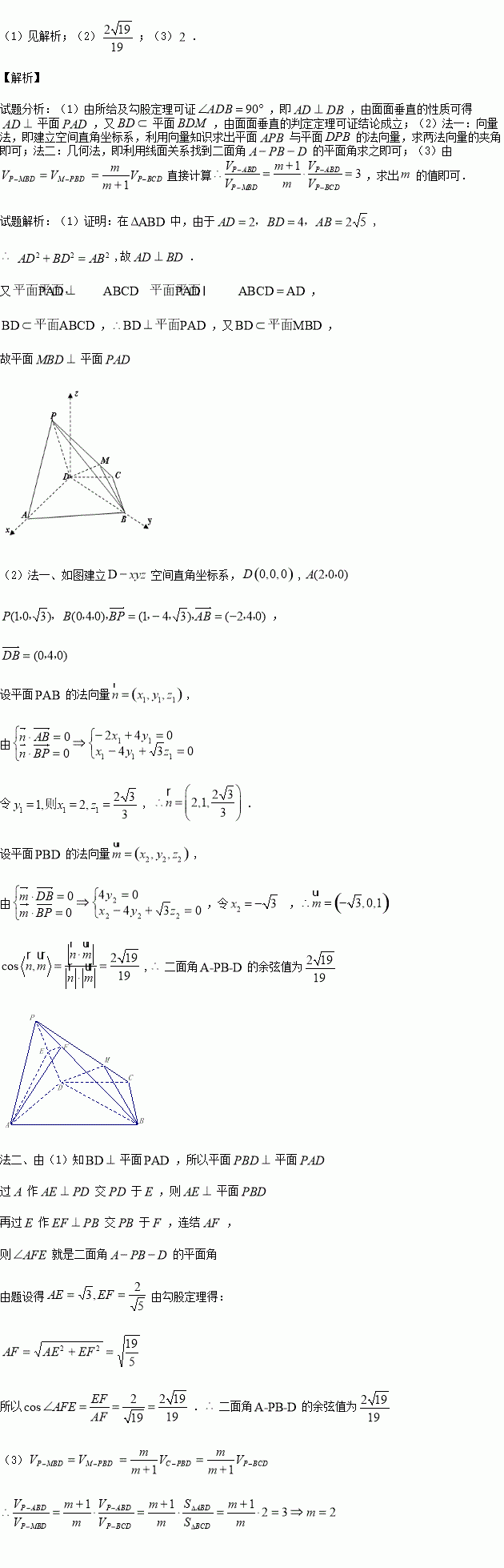
如图,在四棱锥中,底面梯形中,,平面平面是等边三角形,已知,且

(1)求证:平面平面

(2)求二面角的余弦值;

(3)试确定的值,使三棱锥体积为三棱锥体积的3倍.

练习册系列答案
相关习题

科目:高中数学 来源:2015-2016学年江苏省泰兴市高一上学期期中考试数学试卷(解析版) 题型:解答题

,函数

(Ⅰ)若,求不等式的解集;

(Ⅱ)若在[0,1]上的最大值为,求的范围;

(Ⅲ)当时,对任意的正实数,不等式恒成立,求实数的取值范围.

查看答案和解析>>

科目:高中数学 来源:2016届中国人大附中高三上期中检测文科数学试卷(解析版) 题型:填空题

,则

查看答案和解析>>

科目:高中数学 来源:2016届山东省高三上开学考试理科数学试卷(解析版) 题型:解答题

已知抛物线)的焦点为,过点作直线交抛物线两点.椭圆的中心在原点,焦点在轴上,点是它的一个顶点,且其离心率

(Ⅰ)分别求抛物线和椭圆的方程;

(Ⅱ)经过两点分别作抛物线的切线,切线相交于点.证明:

查看答案和解析>>

科目:高中数学 来源:2016届湖南省六校高三12月联考文科数学卷(解析版) 题型:填空题

若曲线在点处的切线方程是,则

查看答案和解析>>

科目:高中数学 来源:2016届安徽省等高三第三次联考文科数学卷(解析版) 题型:解答题

设函数

(1)求函数的单调区间;

(2)若,求证:

查看答案和解析>>

科目:高中数学 来源:2016届安徽省等高三第三次联考理科数学试卷(解析版) 题型:填空题

函数有三个不同的零点,则实数的取值范围是

查看答案和解析>>

科目:高中数学 来源:2015-2016学年浙江省高二上期中数学试卷(解析版) 题型:填空题

设函数,则不等式的解集是

查看答案和解析>>

科目:高中数学 来源:2015-2016学年上海师大附中高二上期中数学试卷(解析版) 题型:填空题

直线 关于轴对称的直线方程为________.

查看答案和解析>>

同步练习册答案