精英家教网 > 高中数学 > 题目详情
已知a≥0,函数f(x)=x2+ax,设,记曲线y=f(x)在点M(x1,f(x1))处的切线为l,l与x轴的交点是N(x2,0),O为坐标原点,
(Ⅰ)证明:
(Ⅱ)若对于任意的,都有成立,求a的取值范围。
解:(Ⅰ)对f(x)求导数,得,f′(x)=2x+a,
故切线l的斜率为2x1+a,
由此得切线l的方程为y-(x12+ax1)=(2x1+a)(x-x1),
令y=0,得
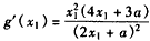
(Ⅱ)由,得

求导数,得
,得
时,的变化情况如下表:

所以,函数g(x1)在上单调递减,在上单凋递增,
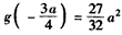
从而函数g(x1)的最小值为
依题意,得,解得:
即a的取值范围是
练习册系列答案
相关习题

科目:高中数学 来源: 题型:

已知a≥0,函数f(x)=(x2-2ax)ex
(Ⅰ)当x为何值时,f(x)取得最小值?证明你的结论;
(Ⅱ)设f(x)在[-1,1]上是单调函数,求a的取值范围.

查看答案和解析>>

科目:高中数学 来源: 题型:

已知a≠0,函数f(x)=
1
3
a2x3-ax2+
2
3
,g(x)=-ax+1,x∈R.
(I)求函数f(x)的单调递减区间;
(Ⅱ)若在区间(0,
1
2
]
上至少存在一个实数x0,使f(x0)>g(x0)成立,试求正实数a的取值范围.

查看答案和解析>>

科目:高中数学 来源: 题型:

已知a≥0,函数f(x)=x2+ax.设x1∈(-∞,-
a
2
)
,记曲线y=f(x)在点M(x1,f(x1))处的切线为l,l与x轴的交点是N(x2,0),O为坐标原点.
(Ⅰ)证明:x2=
x
2
1
2x1+a

(Ⅱ)若对于任意的x1∈(-∞,-
a
2
)
,都有
OM
ON
9a
16
成立,求a的取值范围.

查看答案和解析>>

科目:高中数学 来源: 题型:

已知a≥0,函数f(x)=(x2-2ax)ex
(1)当a=0时讨论函数的单调性;
(2)当x取何值时,f(x)取最小值,证明你的结论.

查看答案和解析>>

科目:高中数学 来源: 题型:

已知a≥0,函数f(x)=a2+
2
cos(x-
π
4
)+
1
2
sin2x
的最大值为
25
2
,则实数a的值是
12-2
2
12-2
2

查看答案和解析>>

同步练习册答案