精英家教网 > 高中数学 > 题目详情

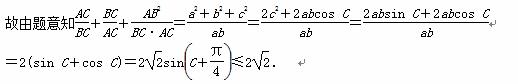
已知在△ABC中,边AB上的高与边AB的长相等,则的最大值为_____.


2   

[解析]设ACbBCaABc,则absin Cc2,即absin Cc2

 


练习册系列答案
相关习题

科目:高中数学 来源: 题型:


已知函数 y=lnt,对于t作如下代换:

;②;③;④,则使函数y=lnt的值域为R的代换有_______.

查看答案和解析>>

科目:高中数学 来源: 题型:


已知函数处有极值,则       

查看答案和解析>>

科目:高中数学 来源: 题型:


已知tanx=sin(x),则sinx=________.

查看答案和解析>>

科目:高中数学 来源: 题型:


将函数y=sin(2xφ)(0≤φ<π)的图像向左平移个单位长度后,所得的函数恰好是偶函数,则φ的值为________.

查看答案和解析>>

科目:高中数学 来源: 题型:


已知函数f(x)=sin(ωxφ)-cos(ωxφ)(0<φ<π,ω>0)为偶函数,且函数yf(x)图象的两相邻对称轴间的距离为

(1)求的值;

(2)将函数yf(x)的图象向右平移个单位后,再将得到的图象上各点的横坐标伸长到原来的4倍,纵坐标不变,得到函数yg(x)的图象,求g(x)的单调递减区间.

查看答案和解析>>

科目:高中数学 来源: 题型:


 若sinα=,sinβ=,且α、β为锐角,则α+β的值为__________.

查看答案和解析>>

科目:高中数学 来源: 题型:


已知向量平行,则实数的值是           

查看答案和解析>>

科目:高中数学 来源: 题型:


等比数列的公比为,其前项的积为,并且满足条件.给出下列结论:①;②;③的值是中最大的;④使成立的最大自然数等于,其中正确的结论是__________.

查看答案和解析>>

同步练习册答案