精英家教网 > 高中数学 > 题目详情

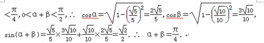
 若sinα=,sinβ=,且α、β为锐角,则α+β的值为__________.


 (解法2)∵  α、β都是锐角,且sinα=,sinβ=,∴  0<α,β


练习册系列答案
相关习题

科目:高中数学 来源: 题型:


已知函数f(x)=则不等式f(3-x2)>f(2x)的解集为________.

查看答案和解析>>

科目:高中数学 来源: 题型:


设函数,曲线在点处的切线方程为,则曲线在点处的切线方程为             

查看答案和解析>>

科目:高中数学 来源: 题型:


已知在△ABC中,边AB上的高与边AB的长相等,则的最大值为_____.

查看答案和解析>>

科目:高中数学 来源: 题型:


已知α、β∈(0,π),且tanα=2,cosβ=-

(1) 求cos2α的值;

(2) 求2αβ的值

查看答案和解析>>

科目:高中数学 来源: 题型:


如图,在中,∠B=45°,DBC边上一点,AD=5,AC=7,DC=3,则AB的长为________.

查看答案和解析>>

科目:高中数学 来源: 题型:


设点PQ是线段AB的三等分点,若=         =         (用表示).

查看答案和解析>>

科目:高中数学 来源: 题型:


在面积为2的中,,分别是,的中点,点在直线上,则的最小值是        

查看答案和解析>>

科目:高中数学 来源: 题型:


已知数列的前项和为

(1)若数列是等比数列,满足的等差中项,求数列的通项公式;

(2)是否存在等差数列,使对任意都有?若存在,请求出所有满足条件的等差数列;若不存在,请说明理由.

查看答案和解析>>

同步练习册答案