精英家教网 > 高中数学 > 题目详情

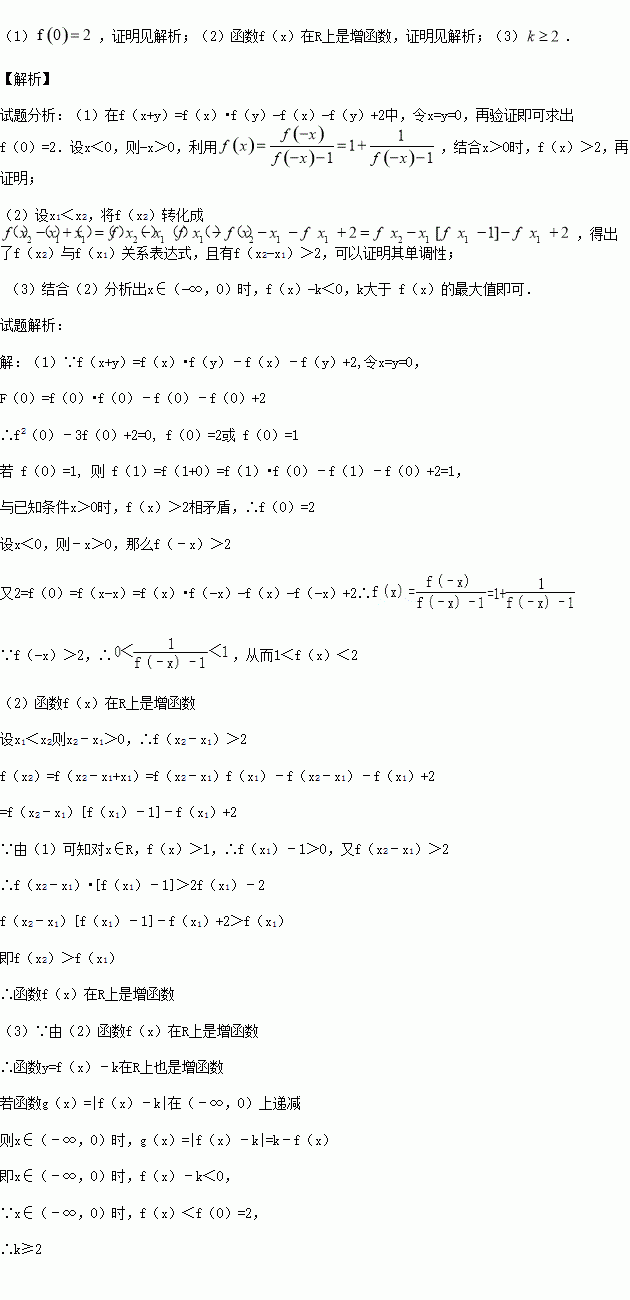
已知函数满足:对任意x,y∈R,都有f(x+y)=f(x)·f(y)﹣f(x)﹣f(y)+2成立,且x>0时,>2,

(1)求f(0)的值,并证明:当x<0时,1<f(x)<2.

(2)判断的单调性并加以证明.

(3)若函数g(x)=|f(x)﹣k|在(﹣∞,0)上递减,求实数k的取值范围.

练习册系列答案
相关习题

科目:高中数学 来源:2015-2016学年黑龙江大庆一中高二下第二次段考理数学卷(解析版) 题型:选择题

设曲线y=ax2﹣lnx﹣a在点(1,0)处的切线方程为y=2(x﹣1),则a=( )

A.0 B. C.1 D.

查看答案和解析>>

科目:高中数学 来源:2015-2016学年广东东莞东华高中高二4月月考理科数学卷(解析版) 题型:选择题

若椭圆的离心率为,则双曲线的渐近线方程为

A. B. C. D.

查看答案和解析>>

科目:高中数学 来源:2015-2016学年广东中山一中高二上第二次段考数学卷(解析版) 题型:选择题

表示不超过实数的最大整数,如,则在坐标平面内满足方程的点所构成的图形的面积为

A. B. C. D.

查看答案和解析>>

科目:高中数学 来源:2015-2016学年广东中山一中高二上第二次段考数学卷(解析版) 题型:选择题

下列说法中,正确的是( )

A.命题“若,则”的逆命题是真命题

B.已知,则“”是“”的必要不充分条件

C.“,则全为”的逆否命题是“若全不为, 则

D.命题的否定形式为

查看答案和解析>>

科目:高中数学 来源:2015-2016学年黑龙江省高一上学期期末考试数学试卷(解析版) 题型:解答题

是两个单位向量,其夹角为60°,且=2+,=﹣3+2

(1)求

(2)求||和||;

(3)求的夹角.

查看答案和解析>>

科目:高中数学 来源:2015-2016学年黑龙江省高一上学期期末考试数学试卷(解析版) 题型:选择题

函数的图象大致是( )

查看答案和解析>>

科目:高中数学 来源:2015-2016学年江西省抚州市高一上学期期末质量检测数学试卷(解析版) 题型:填空题

关于下列命题:①函数最小正周期是;②函数是偶函数;③函数的一个对称中心是 ;④关于x的方程)有两相异实根,则实数的取值范围是.写出所有正确的命题的题号: .

查看答案和解析>>

科目:高中数学 来源:2015-2016学年山东省菏泽市高一上学期期末考试数学试卷(解析版) 题型:解答题

已知为定义在R上的奇函数,当时,为二次函数,且满足上的两个零点为1和3.

(1)求函数在R上的解析式;

(2)若时,函数的图像恒在的上方,求m的取值范围.

查看答案和解析>>

同步练习册答案