精英家教网 > 高中数学 > 题目详情

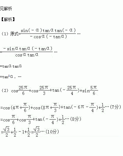
(Ⅰ)化简

(Ⅱ)计算

练习册系列答案
相关习题

科目:高中数学 来源:2015-2016学年四川南充高级中学高二下期期末理数学试卷(解析版) 题型:填空题

若函数在区中上是单调递增函数,则实数的取值范围是

查看答案和解析>>

科目:高中数学 来源:2016届人教版A版高三回顾知识练习3数学试卷(解析版) 题型:解答题

已知函数f(x)=|x﹣a|+m|x+a|.

(Ⅰ)当m=a=﹣1时,求不等式f(x)≥x的解集;

(Ⅱ)不等式f(x)≥2(0<m<1)恒成立时,实数a的取值范围是{a|a≤﹣3或a≥3},求实数m的集合.

查看答案和解析>>

科目:高中数学 来源:2016届人教版A版高三回顾知识练习3数学试卷(解析版) 题型:选择题

若x,y满足约束条件,则目标函数z=x﹣2y的最小值是( )

A.﹣5 B. C.0 D.2

查看答案和解析>>

科目:高中数学 来源:2016届人教版A版高三回顾知识练习2数学试卷(解析版) 题型:解答题

已知函数f(x)=2sin(2ωx+φ),(ω>0,φ∈(0,π))的图象中相邻两条对称轴间的距离为,且点(﹣,0)是它的一个对称中心.

(1)求f(x)的表达式,并求出f(x)的单调递增区间.

(2)若f(ax)(a>0)在(0,)上是单调递减函数,求a的最大值.

查看答案和解析>>

科目:高中数学 来源:2016届人教版A版高三回顾知识练习2数学试卷(解析版) 题型:解答题

已知tanα=﹣,则的值是.

查看答案和解析>>

科目:高中数学 来源:2016届人教版A版高三回顾知识练习2数学试卷(解析版) 题型:选择题

如图是某运动员在某个赛季得分的茎叶图统计表,则该运动员得分的中位数是()

A.2 B.24 C.23 D.26

查看答案和解析>>

科目:高中数学 来源:2016-2017学年人教B版高一必修2第一章单元测验数学试卷(解析版) 题型:解答题

如图,AB是圆柱的母线,O′是上底面的圆心,△BCD是下底面圆的内接三角形,且BD是下底面圆的直径,E是CD的中点.

求证:(1)O′E∥平面ABC;

(2)平面O′CD⊥平面ABC.

查看答案和解析>>

科目:高中数学 来源:2017届江苏南京市高三上学期学情调研数学试卷(解析版) 题型:解答题

如图,在底面为正方形的四棱锥P-ABCD中,侧棱PD⊥底面ABCD,PD=DC,点E是线段PC的中点.

(1)求异面直线AP与BE所成角的大小;

(2)若点F在线段PB上,使得二面角F-DE-B的正弦值为,求的值.

查看答案和解析>>

同步练习册答案