精英家教网 > 高中数学 > 题目详情
设各项均为正数的数列{an}项和为Sn,且满足:2Sn=an2+an(n≥1,n∈N).
(1)求a1和an
(2)设,判断Tn与2的大小关系,并说明理由;
(3)设集合M=(m|m=2k,k∈N且1000≤k≤2011),若存在m∈M,使对满足n>m的一切正整数n,不等式恒成立,问这样的正整数m共有多少个?
【答案】分析:(1)由,知当n=1时,,且an>0,得a1=1.当n≥2时,,得,故(an+an-1)(an-an-1)=0,an-an-1=1,故an=n.
(2)由an=n,知,故,由裂项求和法能够导出Tn<2.
(3)由,知n>2010,故m的最小值为2010.由题设知M={2000,2002,…,2008,2010,2012,…,4022},由此能够求出满足条件的正整数m的个数.
解答:解:(1)∵,①
当n=1时,
且an>0,得a1=1.
当n≥2时,,②
①-②,得
化简得(an+an-1)(an-an-1-1)=0,
而an+an-1>0,
∴an-an-1=1,
即{an}是以1为公差的等差数列,
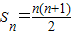
∴an=n.
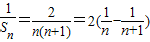
(2)∵an=n,



=2(1-)<2.
∴Tn<2.
(3)∵
∴n>2010,
∴m的最小值为2010.
由题设知M={2000,2002,…,2008,2010,2012,…,4022},
∵m∈M,
∴m=2010,2012,…,4022均满足条件.
设有k个数,则2010+2(k-1)=4022,k=1007.
故这样的正整数m共有1007个.
点评:本题考查数列与不等式的综合应用,考查运算求解能力,推理论证能力;考查化归与转化思想.对数学思维的要求比较高,有一定的探索性.综合性强,难度大,是高考的重点.解题时要认真审题,仔细解答.
练习册系列答案
相关习题

科目:高中数学 来源: 题型:

设各项均为正数的数列{an}和{bn}满足5an5bn5an+1成等比数列,lgbn,lgan+1,lgbn+1成等差数列,且a1=1,b1=2,a2=3,求通项an、bn

查看答案和解析>>

科目:高中数学 来源: 题型:

设各项均为正数的数列{an}的前n项和为Sn,已知2a2=a1+a3,数列{
Sn
}
是公差为d的等差数列.
(1)求数列{an}的通项公式(用n,d表示);
(2)设c为实数,对满足m+n=3k且m≠n的任意正整数m,n,k,不等式Sm+Sn>cSk都成立.求证:c的最大值为
9
2

查看答案和解析>>

科目:高中数学 来源: 题型:

设各项均为正数的数列{an}的前n项和为Sn,已知2a2=a1+a3,数列{
Sn
}
是公差为d的等差数列.
(Ⅰ)求数列{an}的通项公式(用n,d表示);
(Ⅱ)设c为实数,对满足m+n=3k且m≠n的任意正整数m,n,k,不等式Sm+Sn>cSk都成立.求c的最大值.

查看答案和解析>>

科目:高中数学 来源: 题型:

(2013•广东)设各项均为正数的数列{an}的前n项和为Sn,满足4Sn=
a
2
n+1
-4n-1,n∈N*
,且a2,a5,a14构成等比数列.
(1)证明:a2=
4a1+5

(2)求数列{an}的通项公式;
(3)证明:对一切正整数n,有
1
a1a2
+
1
a2a3
+…+
1
anan+1
1
2

查看答案和解析>>

科目:高中数学 来源: 题型:

设各项均为正数的数列{an}的前n项和为Sn,对于任意的正整数n都有等式Sn=
1
4
a
2
n
+
1
2
an
(n∈N*)成立.
(1)求数列{an}的通项公式;
(2)令数列bn=|c|
an
2n
Tn
为数列{bn}的前n项和,若Tn>8对n∈N*恒成立,求c的取值范围.

查看答案和解析>>

同步练习册答案