0  429505  429513  429519  429523  429529  429531  429535  429541  429543  429549  429555  429559  429561  429565  429571  429573  429579  429583  429585  429589  429591  429595  429597  429599  429600  429601  429603  429604  429605  429607  429609  429613  429615  429619  429621  429625  429631  429633  429639  429643  429645  429649  429655  429661  429663  429669  429673  429675  429681  429685  429691  429699  447090 

23.作文(60分)

       有一首歌唱道:         我有一双隐形的翅膀,

       带我飞,给我希望。

       我有一双隐形的翅膀,

       带我飞,飞向远方。

请以“我有一双隐形的翅膀”作为题目,写一篇不少于800字的文章。除十个外,题材不限。

天津卷

试题详情

2、从小兔子的角度看,要正确定位,挖掘潜力,刻苦努力,扬长避短(或扬长补短)。

注:如果从刻苦勤奋这个角度去写的话,一定要有个前提就是,正确定位。

弄清立意后,可以从“长处”的内涵入手,揭示长处具体指什么。“长处”指某个方面的优点,特长或优势。它可以指某个人某个方面的思维品质、特长等,也可以写某个团体、国家、民族等的优点、特长或优势。

除此之外,也可以从“怎么办”入手,分析如何发展长处,如何正确定位,如何引导,如何努力等,列出几个分论点,这样立意就可以写成并列式议论文。

也可以从正反两个方面去立意,这样写正反对照式较合适。当然,也可以选择写成记叙文,构思几个人物或集体,通过故事情节去揭示发展长处的益处或弊端。在虚构故事时,如果能塑造出两个人物、企业、民族等,采用对比的手法,效果会更好些。

[作文点评]

这篇材料作文出得耐人寻味,可谓用心良苦。08年全国Ⅰ卷的作文类型是材料作文,材料是关于地震的,关注了社会热点,明确了社会的价值取向,有很强的人文关怀意味。09年全国Ⅰ卷的作文材料虽采用了寓言故事,看似与与现实有较大的距离,但是却字字句句切中现实的。而此作文暗切政治、经济、教育等领域等现实问题,且也包含较强的价值取向。在某种程度上,它考查了学生对现实社会、生活等方面的关注程度,给考生提供了较广阔的写作空间,让学生有话可说,有真知灼见可谈,切实落实了让学生“观察生活、体验生活、感悟生活”的新课标精神

全国卷2

试题详情

1、从管理局的角度看,要正确引导,不拘一格,因材施“教”,发展长处。

试题详情

8.(30分)水稻种子中70%的磷以植酸形式存在。植酸易同铁、钙等金属离子或蛋白质结合排出体外,是多种动物的抗营养因子,同时,排出的大量磷进入水体易引起水华。

(1)磷元素除了形成植酸外,还可以出现在下列_____________分子或结构中(多选)。

A.核糖            B.ATP              C.核糖体               D.核膜

(2)种植芦苇能有效抑制水华的发生,表明芦苇与引起水华的藻类关系是_____________。

(3)植酸酶可降解植酸,在谷物类饲料中添加植酸酶可提高饲料的_____________  利用率。

(4)酵母菌中植酸的活性较高。下图是从不同类型酵母菌的发酵液中提取植酸酶的工艺流程。

据图回答:

①   植酸酶________________(Ⅰ/Ⅱ)属于分泌蛋白。

②   若植酸酶Ⅰ和Ⅱ的肽链组成不同,其差异体现在______________________。

③   提纯的植酸酶需做活性条件测定。右图为测定结果。

图中的自变量可为____________________________(答一种);

因变量可以通过测定______________________来表示。

(5)为从根本上解决水稻中的高植酸问题,可将植酸酶基因导入水稻,

培育低植酸转基因水稻品种。下图是获取植酸酶基因的流程。

据图回答:

①   图中基因组文库____________(小于/等于/大于)cDNA文库。

②   B过程需要的酶是______________;A、C过程中_____________(可以/不可以)使用同一种探针筛选含目的基因的菌株。

③   目的基因Ⅰ和Ⅱ除从构建的文库中分离外,还可以分别利用图中___________。

和_____________为模板直接进行PCR扩增,该过程中所用酶的显著特点是_________________________。

(6)已获得的转植酸酶基因水稻品系植酸含量低,但易感病,下图为选育低植酸抗病水稻品种的过程。图中两对相对性形状分别由两对基因控制,并独立遗传。

   采用上图育种过程,需从_______________代开始筛选,经筛选淘汰后,在选留的植株中低植酸抗病纯合体所占的比例是______________。选留植株多代自交,经筛选可获得低植酸抗病性状稳定的品性。

试题详情

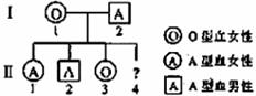
7.(14分)人的血型是由红细胞表面抗原决定的。左表为A型和O型血的红细胞表面抗原及其决定基因,右图为某家庭的血型遗传图谱。

血型
A
红细胞裂面A抗原

抗原决定基因
(显性)
O

(隐性)

据图表回答问题:

(1)控制人血型的基因位于     (常/性)染色体上,判断依据是               

                        

(2)母婴血型不合易引起新生儿溶血症。原因是在母亲妊娠期间,胎儿红细胞可通过胎盘进入母体;剌激母体产生新的血型抗体。该抗体又通过胎盘进入胎儿体内,与红细胞发生抗原抗体反应,可引起红细胞破裂。因个体差异,母体产生的血型抗体量及进入胎儿体内的量不同,当胎儿体内的抗体达到一定量时,导致较多红细胞破裂,表现为新生儿溶血症。

①II-1出现新生儿溶血症,引起该病的抗原是           。母婴血型不合  

        (一定/不一定)发生新生儿溶血症。

②II-2的溶血症状较II-1严重。原因是第一胎后,母体已产生      ,当相同抗原再次剌激时,母体快速产生大量血型抗体,引起II-2溶血加重。

③新生儿胃肠功能不健全,可直接吸收母乳蛋白。当溶血症新生儿哺母乳后,病情加重,其可能的原因是                            

(3)若II-4出现新生儿溶血症,其基因型最有可能是        

试题详情

2.本卷共2题,共44分。

试题详情

1.用黑色墨水的钢笔或签字笔将答案写在答题卡上。

试题详情


同步练习册答案