精英家教网 > 初中数学 > 题目详情
3.xm-1-4=0是关于x的一元一次方程,那么m=2.

分析 只含有一个未知数(元),并且未知数的指数是1(次)的方程叫做一元一次方程.它的一般形式是ax+b=0(a,b是常数且a≠0).

解答 解:由xm-1-4=0是关于x的一元一次方程,得
m-1=1.
解得m=2,
故答案为:2.

点评 本题主要考查了一元一次方程的一般形式,只含有一个未知数,且未知数的指数是1,一次项系数不是0,这是这类题目考查的重点.

练习册系列答案
相关习题

科目:初中数学 来源: 题型:解答题

8.如图,已知D是△ABC的边AB上一点,CE∥AB,DE交AC于点O,且OA=OC.求证:四边形ADCE是平行四边形.

查看答案和解析>>

科目:初中数学 来源: 题型:解答题

14.解不等式组,并将解集在数轴上表示出来:$\left\{\begin{array}{l}x+2>0\\ x≤\frac{x-2}{2}+3\end{array}\right.$.

查看答案和解析>>

科目:初中数学 来源: 题型:解答题

11.计算:
(1)($\sqrt{27}$-$\sqrt{12}$+$\sqrt{45}$)×$\sqrt{\frac{1}{3}}$     
(2)$\sqrt{12}$×$\sqrt{2}$-($\frac{3\sqrt{6}}{2}$+$\sqrt{\frac{3}{2}}$)

查看答案和解析>>

科目:初中数学 来源: 题型:解答题

18.如图,在平面直角坐标系中,每个小正方形边长为1,点A的坐标为(-3,2),请按要求分别完成下列各小题:
(1)画出△ABC关于x轴对称轴的△A1B1C1,写出点A1的坐标是(-3,2);
(2)在y轴上确定点P,使PA+PB最短(保留作图痕迹,不写作法)
(3)求△ABC的面积.

查看答案和解析>>

科目:初中数学 来源: 题型:解答题

8.计算:
(1)-28-(-19)+(-24)
(2)-8÷(-2)+4×(-5)
(3)36×($\frac{2}{3}$-$\frac{3}{4}$-$\frac{1}{12}$)-(-2)3     
(4)-32÷(-$\frac{4}{9}$)×(-$\frac{2}{3}$)2-(-1)4

查看答案和解析>>

科目:初中数学 来源: 题型:填空题

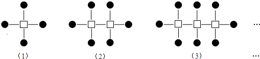
15.下列图形是正方形和实心圆按一由一些小定规律排列而成的,如图所示,按此规律排列下去,第n个图形中有2n+2个实心圆.

查看答案和解析>>

科目:初中数学 来源: 题型:填空题

12.计算$\root{3}{27}$-$\sqrt{4}$=1.

查看答案和解析>>

科目:初中数学 来源: 题型:选择题

13.如图,抛物线y=x2+bx+c与x轴交于A,B两点,与y轴交于C点,若∠OBC=45°,则下列各式成立的是(  )
A.b+c-1=0B.b+c+1=0C.b-c+1=0D.b-c-1=0

查看答案和解析>>

同步练习册答案