精英家教网 > 高中数学 > 题目详情

已知f(x)=(xa).

(1)若a=-2,试证明f(x)在(-∞,-2)内单调递增;

(2)若a>0且f(x)在(1,+∞)内单调递减,求a的取值范围.


解:(1)证明:任设x1<x2<-2,

∵(x1+2)(x2+2)>0,x1x2<0,

f(x1)<f(x2),

f(x)在(-∞,-2)内单调递增.

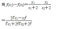
(2)任设1<x1<x2,则

f(x1)-f(x2)=

a>0,x2x1>0,∴要使f(x1)-f(x2)>0,只需(x1a)(x2a)>0恒成立,∴a≤1.

综上所述知0<a≤1.


练习册系列答案
相关习题

科目:高中数学 来源: 题型:


在△ABC中,角A、B、C所对的边分别为a、b、c,若(b-c)cosA=acosC,则cosA=          

查看答案和解析>>

科目:高中数学 来源: 题型:


已知命题p1:存在x0∈R,使得xx0+1<0成立;p2:对任意x∈[1,2],x2-1≥0.以下命题为真命题的是(  )

A.(綈p1)∧(綈p2)                 B.p1∨(綈p2)

C.(綈p1)∧p2                     D.p1p2

查看答案和解析>>

科目:高中数学 来源: 题型:


二次函数f(x)满足f(x+1)-f(x)=2x,且f(0)=1.

(1)求f(x)的解析式;

(2)解不等式f(x)>2x+5.

查看答案和解析>>

科目:高中数学 来源: 题型:


f(x)=-x2+2axg(x)=在区间[1,2]上都是减函数,则a的取值范围是(  )

A.(-1,0)∪(0,1)                                B.(-1,0)∪(0,1]

C.(0,1)                                              D.(0,1]

查看答案和解析>>

科目:高中数学 来源: 题型:


已知i是虚数单位,R,且是纯虚数,则等于(   )

A.1                B.-1               C.i                D.-i

查看答案和解析>>

科目:高中数学 来源: 题型:


的外接圆的圆心为,半径为,则向量方向上的投影为 (  )

A            B             C             D)

查看答案和解析>>

科目:高中数学 来源: 题型:


已知f(x)是奇函数,g(x)是偶函数,且f(-1)+g(1)=2,f(1)+g(-1)=4,则g(1)等于(  )

A.4                              B.3

C.2                              D.1

查看答案和解析>>

科目:高中数学 来源: 题型:


已知函数f(x)=ln的定义域是(1,+∞),则实数a的值为________.

查看答案和解析>>

同步练习册答案