精英家教网 > 高中数学 > 题目详情

如图,在几何体ABCDE中,ABADBCDC=2,AE=2ABAD,且AE⊥平面ABD,平面CBD⊥平面ABD.

(1)求证:AB∥平面CDE

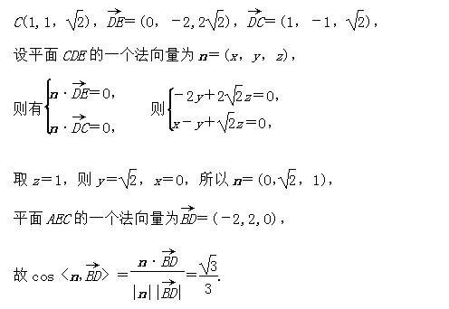
(2)求二面角AECD的余弦值.


解:(1)证明:∵ABADBCDC=2,

∴△CBD≌△ABD.

又∵ABAD,∴BCDCBD=2.

如图,过点CCFBD,垂足为F,则CF⊥平面ABD,且CF

FFGAB,交ADG,过GGHAEDEH

AE=2,∴GH

∴四边形CFGH是平行四边形,

ABFGCH.

CH⊂平面CDEAB⊄平面CDE

AB∥平面CDE.

(2)如图建立空间直角坐标系,则

A(0,0,0),B(2,0,0),D(0,2,0),E(0,0,2),


练习册系列答案
相关习题

科目:高中数学 来源: 题型:


函数的零点所在的大致区间是 (   )

   A .              B.            C.        D.

查看答案和解析>>

科目:高中数学 来源: 题型:


已知各项不为0的等差数列{an}满足a4-2a+3a8=0,数列{bn}是等比数列,且b7a7,则b2b12等于(  )

A.1                                    B.2 

C.4                                    D.8

查看答案和解析>>

科目:高中数学 来源: 题型:


 一个几何体的三视图如图所示,正视图和侧视图都是等边三角形.若该几何体的四个顶点在空间直角坐标系Oxyz中的坐标分别是(0,0,0),(2,0,0),(2,2,0),(0,2,0),则第五个顶点的坐标可能为(  )

A.(1,1,1)                              B.(1,1,)

C.(1,1,)                           D.(2,2,)

查看答案和解析>>

科目:高中数学 来源: 题型:


设正方体ABCDA1B1C1D1的棱长为2,则点D1到平面A1BD的距离是(  )

A.                                  B.

C.                                 D.

查看答案和解析>>

科目:高中数学 来源: 题型:


已知复数z1=(2-i)i,复数z2a+3i(a∈R),若复数z2kz1(k∈R),则a=(  )

A.                                    B. 

C.                                    D.

查看答案和解析>>

科目:高中数学 来源: 题型:


在平面直角坐标系xOy中,Ω是一个平面点集,如果存在非零平面向量a,对于任意点PΩ,都有点QΩ,使得a,则称a为平面点集Ω的一个向量周期.现有以下四个命题:

①若平面点集Ω存在向量周期a,则ka(k∈Z,k≠0)也是Ω的向量周期;

②若平面点集Ω形成的平面图形的面积是一个非零常数,则Ω不存在向量周期;

③若平面点集Ω={(xy)|x>0,y>0},则b=(-1,2)为Ω的一个向量周期;

④若平面点集Ω={(xy)|y=|sin x|-|cos x|},则cΩ的一个向量周期.

其中真命题的个数是(  )

A.1  B.2  C.3  D.4

查看答案和解析>>

科目:高中数学 来源: 题型:


请阅读下列材料:若两个正实数a1a2满足aa=1,那么a1a2.证明:构造函数f(x)=(xa1)2+(xa2)2=2x2-2(a1a2)x+1,因为对一切实数x,恒有f(x)≥0,所以Δ≤0,从而得4(a1a2)2-8≤0,所以a1a2.

根据上述证明方法,若n个正实数满足aa+…+a=1时,你能得到的结论为________.(不必证明)

查看答案和解析>>

科目:高中数学 来源: 题型:


某产品在某零售摊位上的零售价x(元)与每天的销售量y(个)统计如下表:

x

16

17

18

19

y

50

41

34

31

据上表可得回归直线方程bxa中的b=-4,据此模型预计零售价定为15元时,销售量为(  )

A.48  B.49  C.50  D.51

查看答案和解析>>

同步练习册答案