精英家教网 > 高中数学 > 题目详情

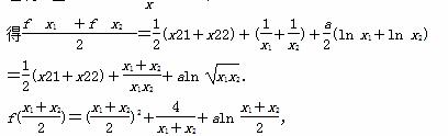
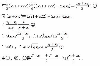
已知函数f(x)=x2aln x(x>0),对任意两个不相等的正数x1x2,证明:当a≤0时,


证明 由f(x)=x2aln x

x1x2且都为正数,


练习册系列答案
相关习题

科目:高中数学 来源: 题型:


 用表示三个数中的最小值。设,则的最大值为

A.4             B.5            C.6              D.7

查看答案和解析>>

科目:高中数学 来源: 题型:


函数处取到极值,则的值为(     )

    A.           B.          C.0             D.

查看答案和解析>>

科目:高中数学 来源: 题型:


设函数abx=a的一个极大值点.

(1)若,求b的取值范围;

(2)当a是给定的实常数,设的3个极值点,问是否存在实数b,可找到,使得的某种排列(其中)依次成等差数列?若存在,求所有的b及相应的;若不存在,请说明理由.

查看答案和解析>>

科目:高中数学 来源: 题型:


a>b>1,PQ(lg a+lg b),R=lg(),则PQR的大小关系为________.

查看答案和解析>>

科目:高中数学 来源: 题型:


已知a1=3,a2=6且an+2an+1an,则a33=________.

查看答案和解析>>

科目:高中数学 来源: 题型:


已知数列{an}的前n项和为Sna1=1且Sn-1+2=0(n≥2),计算S1S2S3S4,并猜想Sn的表达式.

查看答案和解析>>

科目:高中数学 来源: 题型:


下面几种推理是合情推理的是________.(填序号)

①由圆的性质类比出球的有关性质;

②由直角三角形、等腰三角形、等边三角形的内角和是180°,归纳出所有三角形的内角和都是180°;

③张军某次考试成绩是100分,由此推出全班同学的成绩都是100分;

④三角形内角和是180°,四边形内角和是360°,五边形内角和是540°,由此得凸多边形内角和是(n-2)·180°.

查看答案和解析>>

科目:高中数学 来源: 题型:


我们把平面几何里相似形的概念推广到空间:如果两个几何体大小不一定相等,但形状完全相同,就把它们叫做相似体.下列几何体中,一定属于相似体的有________个.

①两个球体;②两个长方体;③两个正四面体;④两个正三棱柱;⑤两个正四棱椎.

查看答案和解析>>

同步练习册答案