精英家教网 > 高中数学 > 题目详情

在三棱锥PABC中,PA⊥底面ABCACBCPAACBC,则直线PCAB所成角的大小是________.


60°

[解析] 

分别取PAACCB的中点FDE连接FDDEEFAE,则∠FDE是直线PCAB所成角或其补角.

PAACBC=2a,在△FDE中,易求得FDaDEaFEa

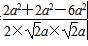
根据余弦定理,得cos∠FDE=-

所以∠FDE=120°.

所以PCAB所成角的大小是60°.


练习册系列答案
相关习题

科目:高中数学 来源: 题型:


平面α经过三点A(-1,0,1)、B(1,1,2),C(2,-1,0),则下列向量中与平面α的法向量不垂直的是(  )

A.                                          B.(6,-2,-2)

C.(4,2,2)                                                     D.(-1,1,4)

查看答案和解析>>

科目:高中数学 来源: 题型:


如图所示,在△ABC中,∠C=90°,∠A=30°,BC=1.在三角形内挖去半圆(圆心O在边AC上,半圆分别与BCAB相切于点CM,与AC交于点N),则图中阴影部分绕直线AC旋转一周所得旋转体的体积为______.

查看答案和解析>>

科目:高中数学 来源: 题型:


在空间四边形ABCD的边ABBCCDDA上分别取EFGH四点,若EFGH交于点M,则(  )

A.M一定在AC

B.M一定在BD

C.M可能在AC上也可能在BD

D.M不在AC上,也不在BD

查看答案和解析>>

科目:高中数学 来源: 题型:


已知mn是两条不同直线,αβγ是三个不同平面,下列命题中正确的是(  )

A.若mαnα,则mn   B.若αγβγ,则αβ

C.若mαmβ,则αβ   D.若mαnα,则mn

查看答案和解析>>

科目:高中数学 来源: 题型:


已知直线mn与平面αβ,下列命题中正确的是(  )

A.mβαβ,则mα

B.平面α内不共线三点到平面β的距离相等,则αβ

C.αβmnmαβ,则nα

D.mαnβαβ,则mn

查看答案和解析>>

科目:高中数学 来源: 题型:


空间中一条线段AB的三视图中,俯视图是长度为1的线段,侧视图是长度为2的线段,则线段AB的长度的取值范围是(  )

A.(0,2]                                                        B.[2,]

C.[2,3]                                                        D.[2,]

查看答案和解析>>

科目:高中数学 来源: 题型:


如图,在多面体ABCDEF中,四边形ABCD是正方形,AB=2EF=2,EFABEFFB,∠BFC=90°,BFFCHBC的中点.

(1)求证:FH∥平面EDB

(2)求证:AC⊥平面EDB

(3)求四面体BDEF的体积.

查看答案和解析>>

科目:高中数学 来源: 题型:


设下图是某几何体的三视图,则该几何体的体积为(  )

A.π+12                                                     B.π+18

C.9π+42                                                    D.36π+18

查看答案和解析>>

同步练习册答案