精英家教网 > 高中数学 > 题目详情

在平面直角坐标系xOy中,曲线yx2-6x+1与坐标轴的交点都在圆C上,求圆C的方程.


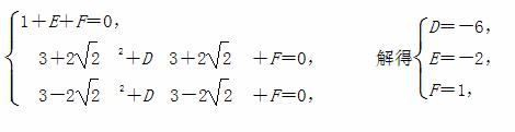
曲线yx2-6x+1与y轴的交点为(0,1),与x轴交点是(3+2,0),(3-2,0),

设圆的方程是x2y2DxEyF=0(D2E2-4F>0),则有

故圆的方程是x2y2-6x-2y+1=0.

[优美解法] (几何法)曲线yx2-6x+1与y轴的交点为(0,1),与x轴的交点为(3+2,0),(3-2,0).

故可设C的圆心为(3,t),则有32+(t-1)2=(2)2t2,解得t=1.则圆C的半径为=3,

所以圆C的方程为(x-3)2+(y-1)2=9.


练习册系列答案
相关习题

科目:高中数学 来源: 题型:


    已知△ABC的角A、B、C所对的边分别为a、b、c,设向量P=(a,b),q=(sinB,sinA),n=(b -2,a-2).

    (I)若P∥q,求证:△ABC等腰三角形;

    (Ⅱ)若P⊥n,边长c=2,∠C=,求△ABC的面积。

查看答案和解析>>

科目:高中数学 来源: 题型:


 直线l被两条直线l1:4xy+3=0和l2:3x-5y-5=0截得的线段的中点为P(-1,2),求直线l的方程.

查看答案和解析>>

科目:高中数学 来源: 题型:


已知AB两点分别在两条互相垂直的直线2xy=0与xay=0上,且AB线段的中点为P,则线段AB的长为(  ).

A.11  B.10  C.9  D.8

查看答案和解析>>

科目:高中数学 来源: 题型:


已知圆C经过A(5,1),B(1,3)两点,圆心在x轴上,则C的方程为________.

查看答案和解析>>

科目:高中数学 来源: 题型:


圆心在y轴上且过点(3,1)的圆与x轴相切,则该圆的方程是(  ).

A.x2y2+10y=0  B.x2y2-10y=0

C.x2y2+10x=0  D.x2y2-10x=0

查看答案和解析>>

科目:高中数学 来源: 题型:


设定点M(-3,4),动点N在圆x2y2=4上运动,以OMON为邻边作平行四边形MONP,求点P的轨迹.

查看答案和解析>>

科目:高中数学 来源: 题型:


圆(x+2)2y2=4与圆(x-2)2+(y-1)2=9的位置关系为(  ).

A.内切     B.相交     C.外切     D.相离

查看答案和解析>>

科目:高中数学 来源: 题型:


已知双曲线=1(a>0,b>0)和椭圆=1有相同的焦点,且双曲线的离心率是椭圆离心率的两倍,则双曲线的方程为________.

      

查看答案和解析>>

同步练习册答案