精英家教网 > 高中数学 > 题目详情

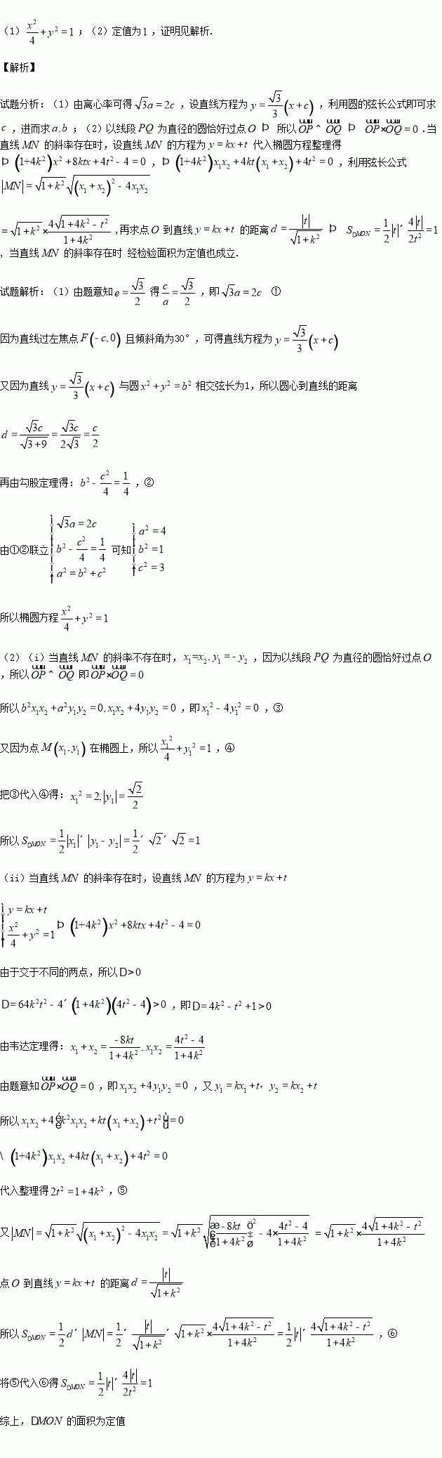
已知椭圆的离心率,过椭圆的左焦点且倾斜角为30°的直线与圆相交所得弦的长度为1.

(1)求椭圆的方程;

(2)若动直线交椭圆于不同的两点,设为坐标原点,当以线段为直径的圆恰好过点时,求证:的面积为定值,并求出该定值.

练习册系列答案
相关习题

科目:高中数学 来源:2016届江西省九江市高三下学期三模理科数学试卷(解析版) 题型:选择题

已知集合,则( )

A. B. C. D.

查看答案和解析>>

科目:高中数学 来源:2016届云南省高三适应性月考八理科数学试卷(解析版) 题型:选择题

运行如图所示的程序框图,如果在区间内任意输入一个的值,则输出的值不小于常数的概率是( )

A. B. C. D.

查看答案和解析>>

科目:高中数学 来源:2016届西藏日喀则一中高三下学期二模文科数学试卷(解析版) 题型:填空题

观察下列各式:

……

照此规律,当时,则

查看答案和解析>>

科目:高中数学 来源:2016届西藏日喀则一中高三下学期二模文科数学试卷(解析版) 题型:选择题

已知函数,则函数的大致图象为( )

查看答案和解析>>

科目:高中数学 来源:2016届西藏日喀则一中高三下学期二模理科数学试卷(解析版) 题型:填空题

已知抛物线的准线方程为,焦点为为该抛物线上不同的三点,成等差数列,且点轴下方,若,则直线的方程为

查看答案和解析>>

科目:高中数学 来源:2016届西藏日喀则一中高三下学期二模理科数学试卷(解析版) 题型:选择题

已知两条不同的直线和两个不同的平面,以下四个命题:

①若,则

②若,则

③若,则

④若,则

其中正确命题的个数是( )

A.4 B.3 C.2 D.1

查看答案和解析>>

科目:高中数学 来源:2016届江苏省高三考前一周双练三模数学试卷(解析版) 题型:解答题

如图,在斜三棱柱中,侧面是边长为的菱形,.在平面中,的中点,过三点的平面交于点

(1)求证:中点;

(2)求证:平面平面

查看答案和解析>>

科目:高中数学 来源:2016届四川省高三下三诊考试理科数学试卷(解析版) 题型:解答题

已知在中,角所对的边长分别为且满足

(1)求的大小;

(2)若,求的长.

查看答案和解析>>

同步练习册答案