精英家教网 > 高中数学 > 题目详情

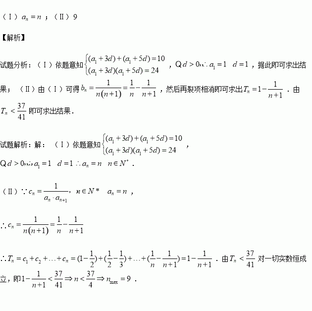
已知数列的前项和为

(Ⅰ)求数列的通项公式;

(Ⅱ)设,数列的前项和,求使成立的的最大值.

练习册系列答案
相关习题

科目:高中数学 来源:2016届黑龙江省齐齐哈尔市高三上期中理科数学试卷(解析版) 题型:选择题

为了得到函数的图象,可以将函数的图象( )

A.向右平移 B.向右平移

C.向左平移 D.向左平移

查看答案和解析>>

科目:高中数学 来源:2016届宁夏回族自治区银川一中高三上第四次月考文科数学试卷(解析版) 题型:解答题

选修4-4;坐标系与参数方程

在直角坐标系中,以O为极点,x轴正半轴为极轴建立极坐标系.曲线C的极坐标方程为,M,N分别为C与x轴,y轴的交点.

(1)写出C的直角坐标方程,并求M、N的极坐标;

(2)设MN的中点为P,求直线OP的极坐标方程.

查看答案和解析>>

科目:高中数学 来源:2016届宁夏回族自治区银川一中高三上第四次月考文科数学试卷(解析版) 题型:选择题

命题“若x2+y2=0,x、y∈R,则x=y=0”的逆否命题是( )

A.若x≠y≠0,x、y∈R,则x2+y2=0

B.若x=y≠0,x、y∈R,则x2+y2≠0

C.若x≠0且y≠0,x、y∈R,则x2+y2≠0

D.若x≠0或y≠0,x、y∈R,则x2+y2≠0

查看答案和解析>>

科目:高中数学 来源:2016届江西省南昌市高三上第四次考试文科数学试卷(解析版) 题型:选择题

已知变量满足约束条件,则的取值范围是 ( )

A. B. C. D.

查看答案和解析>>

科目:高中数学 来源:2016届湖南省株洲市高三上期中理科数学试卷(解析版) 题型:解答题

选修4—5:《不等式选讲》

已知、c为正数.

(1)若直线2x-(b-3)y+6=0与直线bx+ay-5=0互相垂直,试求的最小值;

(2)求证:

查看答案和解析>>

科目:高中数学 来源:2016届湖南省株洲市高三上期中理科数学试卷(解析版) 题型:选择题

已知是定义在R上的函数,且对任意都有,若函数的图象关于点对称,且,则( )

A、 B、 C、 D、

查看答案和解析>>

科目:高中数学 来源:2016届江西省南昌市高三上第四次考试文科数学试卷(解析版) 题型:解答题

已知函数

(1)求函数的周期及单调递增区间;

(2)在中,三内角A,B,C的对边分别为,已知函数的图象经过点,若,求a的值.

查看答案和解析>>

科目:高中数学 来源:2015-2016学年云南省景洪市高二上学期期中考试数学试卷(解析版) 题型:解答题

在△ABC中,BC=a,AC=b,a,b是方程的两个根,且.求:(1)角C的度数; (2)AB的长度.

查看答案和解析>>

同步练习册答案