精英家教网 > 高中数学 > 题目详情

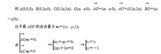
如图,平面ABCD⊥平面ABEF,四边ABCD是正方形,四边形ABEF是矩形,且AFADaGEF的中点,则GB与平面AGC所成角的正弦值为________.


[解析] 如图,以A为原点建立空间直角坐标系,

n1=(1,-1,1).

sinθ.


练习册系列答案
相关习题

科目:高中数学 来源: 题型:


如图,直四棱柱ABCDA1B1C1D1中,AB//CDADABAB=2,ADAA1=3,ECD上一点,DE=1,EC=3.

(1)证明:BE⊥平面BB1C1C

(2)求点B1 到平面EA1C1 的距离.

查看答案和解析>>

科目:高中数学 来源: 题型:


如图所示,在棱长为2的正方体OABCO1A1B1C1的对角线O1B上有一点P,棱B1C1上有一点Q.

(1)当QB1C1的中点,点P在对角线O1B上运动时,试求|PQ|的最小值;

(2)当QB1C1上运动,点PO1B上运动时,试求|PQ|的最小值.

查看答案和解析>>

科目:高中数学 来源: 题型:


若平面αβ的法向量分别为n1=(2,3,5),n2=(-3,1,-4),则(  )

A.αβ                                                         B.αβ

C.αβ相交但不垂直                                  D.以上均不正确

查看答案和解析>>

科目:高中数学 来源: 题型:


在长方体ABCDA1B1C1D1中,AB=2,BCAA1=1,则D1C1与平面A1BC1所成角的正弦值为________.

查看答案和解析>>

科目:高中数学 来源: 题型:


光线自点M(2,3)射到N(1,0)后被x轴反射,则反射光线所在的直线方程为(  )

A.y=3x-3                                                 B.y=-3x+3

C.y=-3x-3                                              D.y=3x+3

查看答案和解析>>

科目:高中数学 来源: 题型:


若经过点P(1-a,1+a)和Q(3,2a)的直线的倾斜角为钝角,则实数a的取值范围是________.

查看答案和解析>>

科目:高中数学 来源: 题型:


圆(x-1)(x+2)+(y-2)(y+4)=0的圆心坐标为________.

查看答案和解析>>

科目:高中数学 来源:2014-2015学年北京市石景山区高三上学期期末考试理科数学试卷(解析版) 题型:选择题

为公比的等比数列中,,则“”是“”的( )

A.充分而不必要条件 B.必要而不充分条件

C.充分必要条件 D.既不充分也不必要条件

查看答案和解析>>

同步练习册答案