精英家教网 > 高中数学 > 题目详情

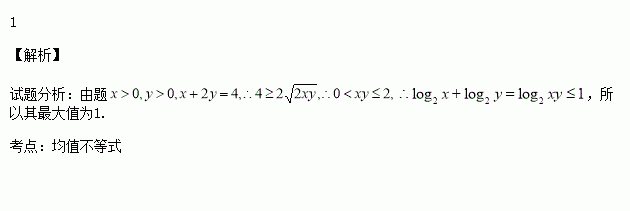
已知实数均大于零,且,则的最大值为_____.

练习册系列答案
相关习题

科目:高中数学 来源:2014-2015学年北京市昌平区高三二模理科数学试卷(解析版) 题型:解答题

(本小题满分14分)已知椭圆,右焦点,点在椭圆上.

(Ⅰ)求椭圆的标准方程;

(Ⅱ)已知直线与椭圆交于两点,为椭圆上异于的动点.

(1)若直线的斜率都存在,证明:;

(2)若,直线分别与直线相交于点,直线与椭圆相交

于点(异于点), 求证:三点共线.

查看答案和解析>>

科目:高中数学 来源:2014-2015学年湖南省高三5月模拟考试理科数学试卷(解析版) 题型:解答题

(本小题满分13分)已知分另为椭圆的上、下焦点,是抛物线的焦点,点在第二象限的交点, 且

(1)求椭圆的方程;

(2)与圆相切的直线交椭圆,若椭圆上一点满足,求实数的取值范围.

查看答案和解析>>

科目:高中数学 来源:2014-2015学年湖南省高三5月模拟考试理科数学试卷(解析版) 题型:选择题

下列函数中最小正周期是的函数是( )

A. B. C. D.

查看答案和解析>>

科目:高中数学 来源:2014-2015学年湖北省襄阳市高三5月模拟考试一文科数学试卷(解析版) 题型:解答题

(本小题满分12分)已知数列中,,其前项的和为,且满足.

(Ⅰ)求证:数列是等差数列;

(Ⅱ)证明:当时,.

查看答案和解析>>

科目:高中数学 来源:2014-2015学年湖北省襄阳市高三5月模拟考试一文科数学试卷(解析版) 题型:选择题

已知双曲线(a>0,b>0的左、右焦点分别为F1、F2,以F1F2为直径的圆被直线截得的弦长为a,则双曲线的离心率为( )

A.3 B.2 C. D.

查看答案和解析>>

科目:高中数学 来源:2014-2015学年湖北省襄阳市高三5月模拟考试一文科数学试卷(解析版) 题型:选择题

复数为虚数单位)在复平面内对应的点位于( )

A.第一象限 B.第二象限 C.第三象限 D.第四象限

查看答案和解析>>

科目:高中数学 来源:2014-2015学年湖北省襄阳市高三5月模拟考试一理科数学试卷(解析版) 题型:选择题

若数列满足,则称数列为“梦想数列”.已知正项数列为“梦想数列”,且,则的最小值是( )

A.2 B.4 C.6 D.8

查看答案和解析>>

科目:高中数学 来源:2014-2015学年黑龙江省高三第三次高考模拟理科数学试卷(解析版) 题型:填空题

已知求过原点与相切的直线方程___________;

查看答案和解析>>

同步练习册答案