精英家教网 > 高中数学 > 题目详情

已知△ABC的内角ABC成等差数列,且ABC所对的边分别为abc,则下列命题中正确的有________(把所有正确的命题序号都填上).

B;                    

②若abc成等比数列,则△ABC为等边三角形;

③若a=2c,则△ABC为锐角三角形;   

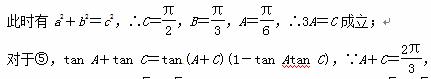
④若则3AC

⑤若tan A+tan C>0,则△ABC为钝角三角形.


①②④   

[解析]∵内角ABC成等差数列,∴AC=2B

ABC=π.∴B,故①正确;

对于②,由余弦定理得b2a2c2-2ac·cos Ba2c2ac

b2ac,∴a2c2acac,即(ac)2=0,∴ac,又B,∴△ABC为等边三角形;

对于③,∵b2a2c2-2accos B=4c2c2-2c2=3c2

bc,此时满足a2b2c2,说明△ABC是直角三角形;

对于④,c2bccos Aaccos Babcos Cacb(ccos Aacos C)

acb2aca2c2ac,化简得c=2a,又b2a2c2ac=3a2,∴ba

∴tan A+tan C=-tan Atan C,∵tan A+tan Ctan Atan C>0,

又在△ABC中,AC不能同为钝角,∴AC都是锐角,∴△ABC为锐角三角形.


练习册系列答案
相关习题

科目:高中数学 来源: 题型:


奇函数f(x)的定义域为R.若f(x+2)为偶函数,且f(1)=1,则f(8)+f(9)=_____.

查看答案和解析>>

科目:高中数学 来源: 题型:


已知函数.若存在,使得成立,则实数的取值范围是              

查看答案和解析>>

科目:高中数学 来源: 题型:


若tan α=2,则的值为________.

查看答案和解析>>

科目:高中数学 来源: 题型:


已知<α<π,3sin 2α=2cos α,则cos(α-π)=________.

查看答案和解析>>

科目:高中数学 来源: 题型:


已知α、β∈(0,π),且tanα=2,cosβ=-

(1) 求cos2α的值;

(2) 求2αβ的值

查看答案和解析>>

科目:高中数学 来源: 题型:


已知cosα=,cos(α-β)=,且0<β<α<,求β.

查看答案和解析>>

科目:高中数学 来源: 题型:


.已知向量.若向量满足,则        

查看答案和解析>>

科目:高中数学 来源: 题型:


已知是公差不为0的等差数列,是等比数列,其中,且存在常数,使得对每一个正整数恒成立,则=________.

查看答案和解析>>

同步练习册答案