精英家教网 > 高中数学 > 题目详情

已知椭圆C=1(ab>0)的离心率e,椭圆C的上、下顶点分别为A1A2,左、右顶点分别为B1B2,左、右焦点分别为F1F2.原点到直线A2B2的距离为

(1)求椭圆C的方程;

(2)P是椭圆上异于A1A2的任一点,直线PA1PA2,分别交轴于点NM,若直线OT与过点MN的圆G相切,切点为T.证明:线段OT的长为定值,并求出该定值.

                                                                    


(1)因为椭圆C的离心率e

故设a=2mcm,则bm

直线A2B2方程为 bxayab=0,

mx-2my-2m2=0.

所以,解得m=1.………………… 4分

所以 a=2,b=1,椭圆方程为y2=1.    ………………… 6分

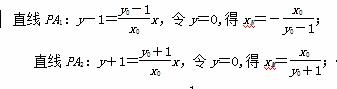
(2)由(1)可知A1(0,1) A2(0,-1),设P(x0y0),

解法二:OM·ON

y02=1,所以x02=4(1-y02),所以OM·ON=4.

由切割线定理得OT2OM·ON=4.

所以OT=2,即线段OT的长度为定值2.                      ………………… 14分


练习册系列答案
相关习题

科目:高中数学 来源: 题型:


如图,已知⊙O的割线PAB交⊙O于A,B两点,割线PCD经过圆心,若PA=3,AB=4,PO=5,则⊙O的半径为_____________.

 

查看答案和解析>>

科目:高中数学 来源: 题型:


在正三棱锥中,,过A作三棱锥的截面,则截面三角形的周长的最小值为   

查看答案和解析>>

科目:高中数学 来源: 题型:


已知函数的图象如图所示,则的单调递减区间为        

 


查看答案和解析>>

科目:高中数学 来源: 题型:


若直角坐标平面内的两点PQ满足条件:①PQ都在函数yf(x)的图象上;②PQ关于原点对称.则称点对[PQ]是函数yf(x)的一对“友好点对”(点对[PQ]与[QP]看作同一对“友好点对”).已知函数f(x)=则此函数的“友好点对”有________对.

查看答案和解析>>

科目:高中数学 来源: 题型:


已知极坐标系的极点与直角坐标系的原点重合,极轴与轴的正半轴重合.若直线的极坐标方程为.

(1)把直线的极坐标方程化为直角坐标系方程;

(2)已知为椭圆上一点,求到直线的距离的最大值.


查看答案和解析>>

科目:高中数学 来源: 题型:


若实数x,y,且x+y=5,则 的最小值是(   )

A.10           B.        C.             D.

查看答案和解析>>

科目:高中数学 来源: 题型:


已知正数等比数列,其中的前n项和,

(1)求的通项公式;

(2)若数列满足,求的前n项和

查看答案和解析>>

科目:高中数学 来源: 题型:


给出下列四个判断

①函数的图象过定点(-1,2)    ②若函数上是增函数,则;③方程有两个不等的根.④函数的最小值是1.其中不正确的序号是____________

查看答案和解析>>

同步练习册答案